Предмет: Математика,
автор: nurbolatulynurzat
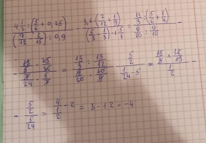
50 есеп срочно тез жаубын жіберіңдерші
Приложения:
Ответы
Автор ответа:
1
Ответ:
=-4
Пошаговое объяснение:
______________________________
Приложения:
Похожие вопросы
Предмет: Окружающий мир,
автор: angel2605
Предмет: Русский язык,
автор: Аноним
Предмет: Окружающий мир,
автор: Аноним
Предмет: История,
автор: Alinakuruch
Предмет: Химия,
автор: yuliyaefremova3