Предмет: Алгебра,
автор: yaseniasaharcuk
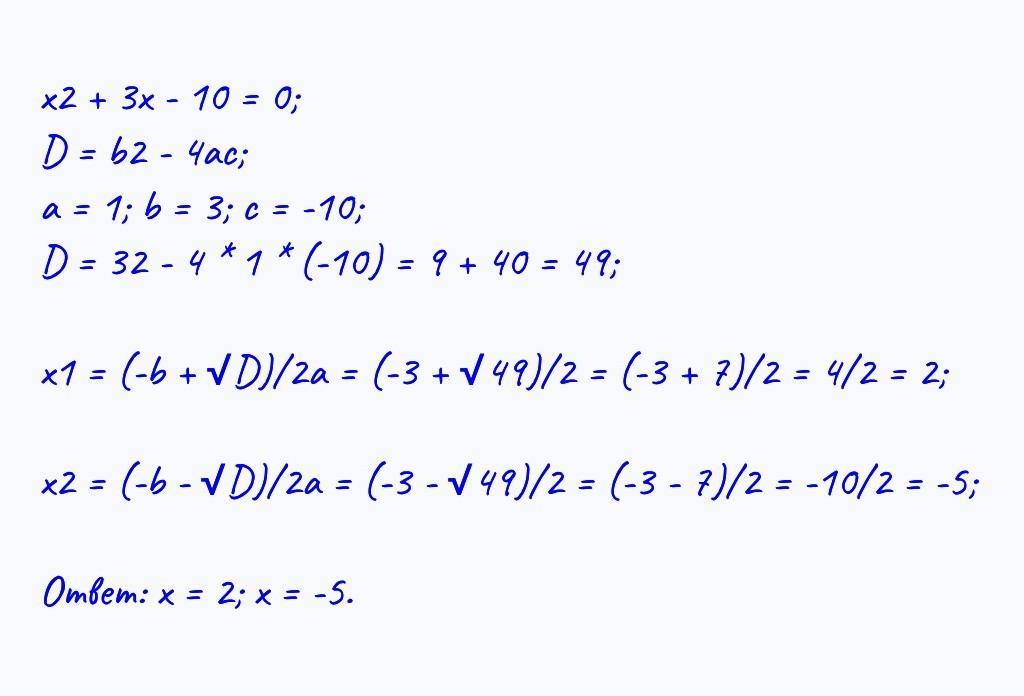
розв'яжіть рівняння х³+3х-10=0
Ответы
Автор ответа:
2
все)
ллллллллллььььььььььььььььь
Приложения:
Похожие вопросы
Предмет: Русский язык,
автор: гарник5
Предмет: Английский язык,
автор: rararar
Предмет: Русский язык,
автор: lik22
Предмет: Химия,
автор: vinivitinaa
Предмет: Математика,
автор: 123456ser