Предмет: Алгебра,
автор: fifaf11
Помогите решить это задучу!
Приложения:
Ответы
Автор ответа:
0
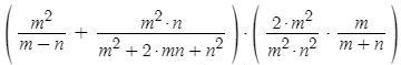
Решение на фото
P.S братан, я максимально старался все сократить, но всегда в итоге получалось такое решение ♂️
Надеюсь помог) Удачи✌️
Приложения:
Похожие вопросы
Предмет: Қазақ тiлi,
автор: Arman565
Предмет: Английский язык,
автор: софья139
Предмет: Русский язык,
автор: Тимаи
Предмет: Математика,
автор: Maruvie1456
Предмет: Физика,
автор: zeus52