Предмет: Алгебра,
автор: Artem335535
с пошаговым объяснением !
Приложения:
Ответы
Автор ответа:
1
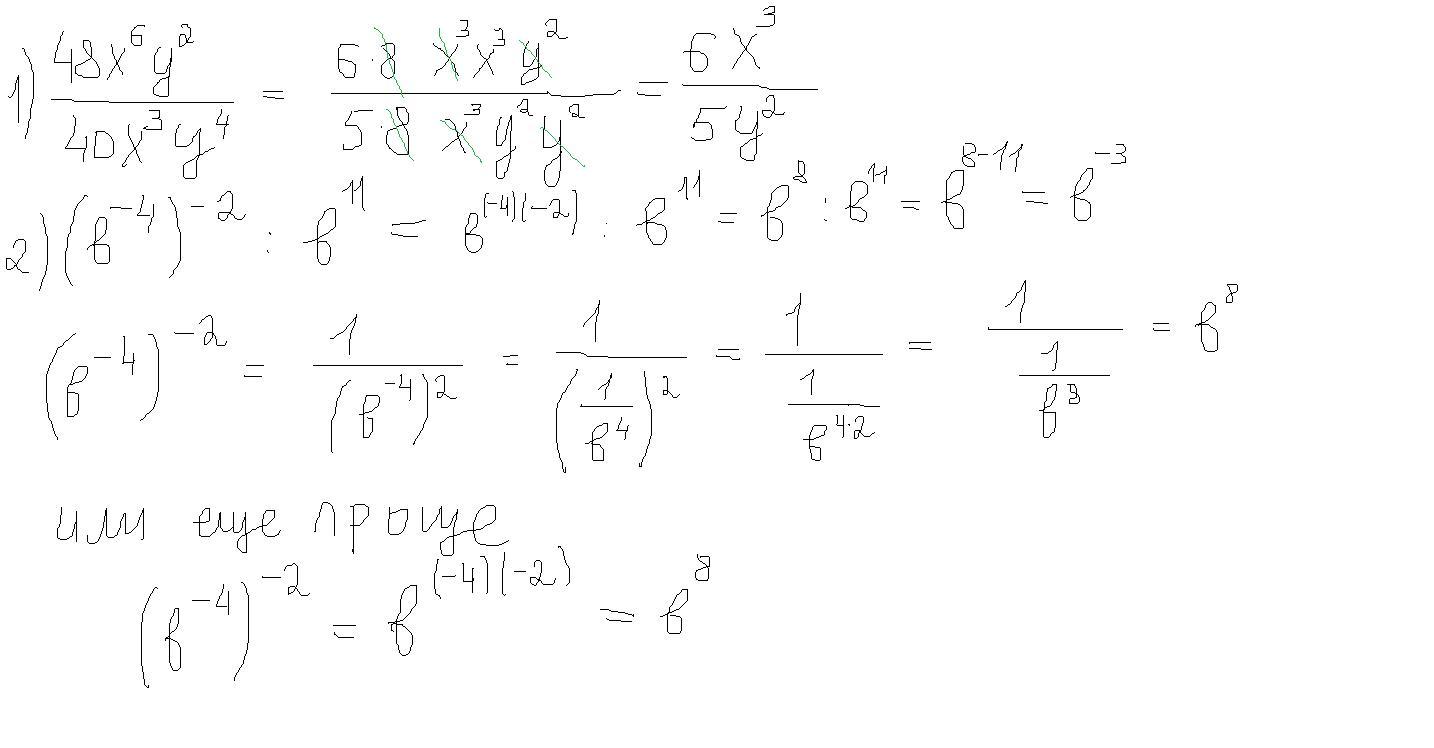
Ответ:примеры решены
Объяснение:
Приложения:
Artem335535:
Спасибо большое за помощь
Похожие вопросы
Предмет: Русский язык,
автор: kateewa34
Предмет: Русский язык,
автор: paras7
Предмет: Русский язык,
автор: lina6670
Предмет: Окружающий мир,
автор: stepanchukkzp825so