Предмет: Алгебра,
автор: razepinavarvara9
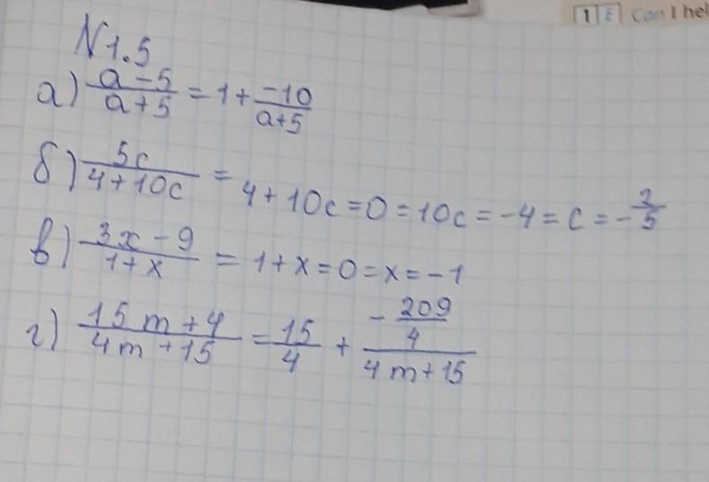
Пожалуйста помогите с алгеброй 8 класс
Приложения:
Ответы
Автор ответа:
1
надеюсь что ты прочтёшь)
Приложения:
razepinavarvara9:
Уже сделала,но спасибо
Похожие вопросы
Предмет: Английский язык,
автор: golubev80
Предмет: Русский язык,
автор: Аноним
Предмет: Русский язык,
автор: Ольга654
Предмет: Литература,
автор: Аноним
Предмет: Английский язык,
автор: anelyazakirova2