Предмет: Алгебра,
автор: hdjfjfjjdjd
Помогите срочно решите пожалуйста побыстрее¡!!!!!!!!!!!!!!
Приложения:
Ответы
Автор ответа:
0
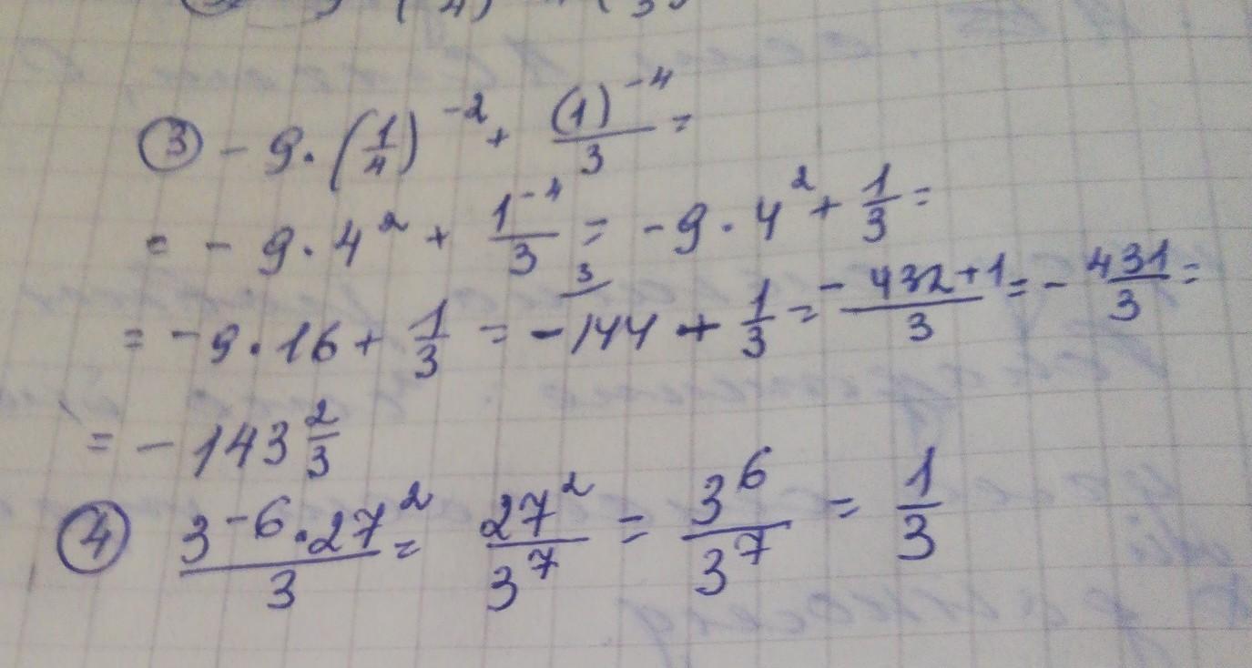
Ответ:
Смотри решение на фото выше
Приложения:
Автор ответа:
0
Відповідь:
Пояснення: тримай , зробив не всі, немає часу
Приложения:
Похожие вопросы
Предмет: Английский язык,
автор: Волнами
Предмет: Немецкий язык,
автор: vlad88jdan
Предмет: Другие предметы,
автор: стифринт
Предмет: Химия,
автор: utegenova00