Предмет: Математика,
автор: Mariakochkina23
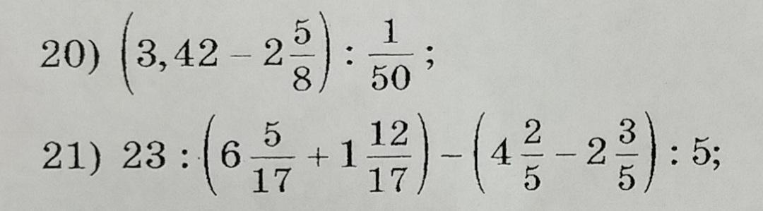
даю 30 баллов! помогите, за лето все забыл
Приложения:
Ответы
Автор ответа:
1
Пошаговое объяснение:
см фото,,,,,,,,,,,,,,,,,,,,,
Приложения:
Похожие вопросы
Предмет: Русский язык,
автор: oleg989
Предмет: Українська мова,
автор: рлпеакв
Предмет: Українська мова,
автор: okoshylap
Предмет: Математика,
автор: АЛЯ526437
Предмет: Химия,
автор: pavorozik