Предмет: Алгебра,
автор: raskinapoly
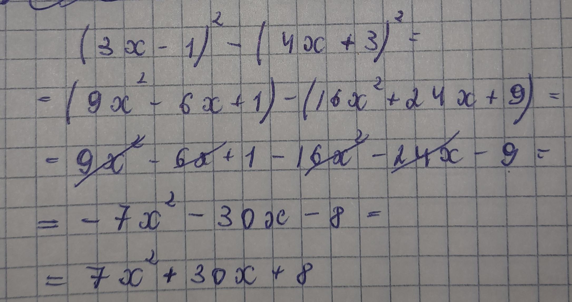
(3x+1)²-(4x+3) ²

Ответы
Автор ответа:
1
Ответ: На фото. Надеюсь тут нужно просто упростить выражение. И в конце выражение разделили на минус. Так легче:э
Объяснение:
Приложения:
Похожие вопросы
Предмет: Русский язык,
автор: penguin2018
Предмет: Қазақ тiлi,
автор: Reginа555
Предмет: Русский язык,
автор: Afsona5450
Предмет: Математика,
автор: fanc8907
Предмет: Физика,
автор: 26082004sofia