Предмет: Алгебра,
автор: skip30550
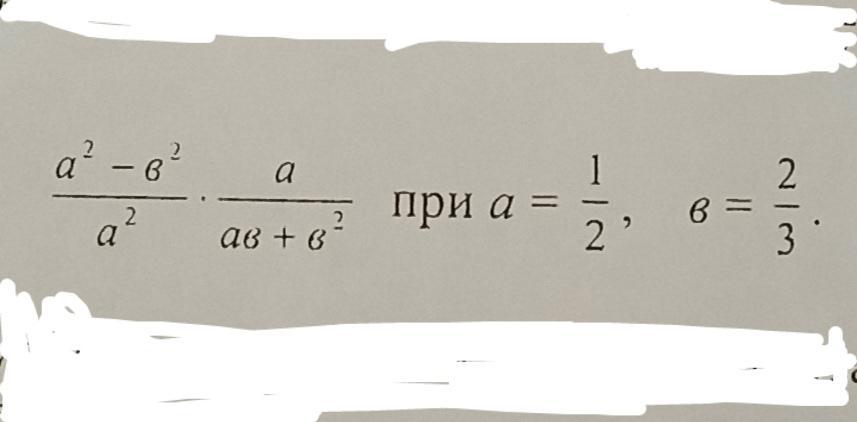
Как это решать? Помогите пожалуйста... 10 балов, решите уровнение
Алгебра 9 класс
Приложения:
Ответы
Автор ответа:
0
Объяснение:
какой упражнени и книга какой
skip30550:
Это задание с листочка
Автор ответа:
0
Ответ:
Сначала упрости выражение, а затем подставляй.
Объяснение:
И обязательно выучи формулы ФСУ (Формулы Сокращённого Умножения )
Похожие вопросы
Предмет: Другие предметы,
автор: Dinkaokai2006
Предмет: Русский язык,
автор: лоник1
Предмет: Русский язык,
автор: дидон1
Предмет: Математика,
автор: abdu8
Предмет: Геометрия,
автор: Аноним