Предмет: Алгебра,
автор: blagpolly2005
Помогите пожалуйста
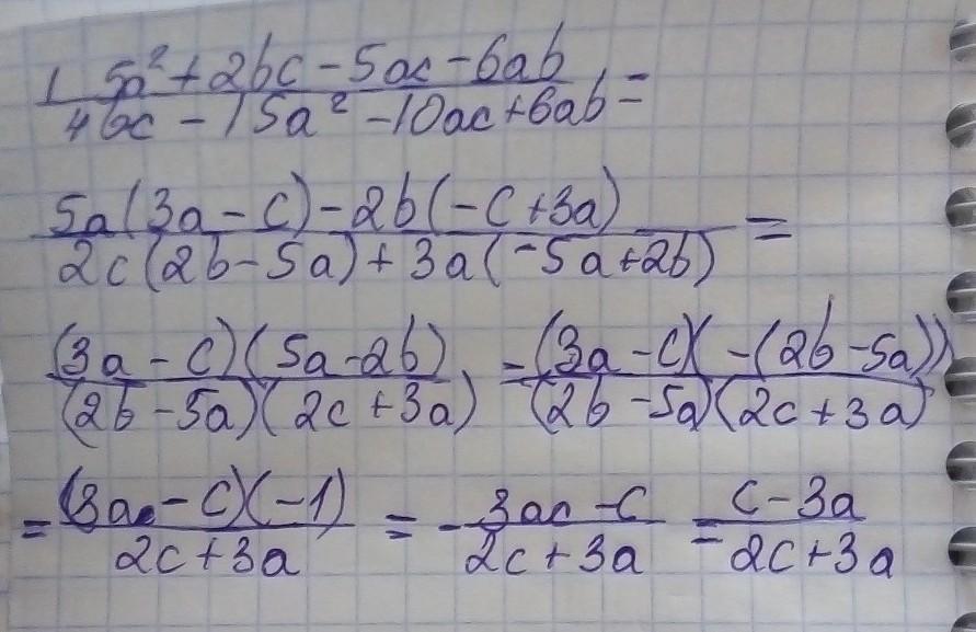
15а²+2bc-5ac-6ab/4bc-15a²-10ac+6ab
Ответы
Автор ответа:
0
Ответ прикреплен + ◐.̃◐
Приложения:
Похожие вопросы
Предмет: Русский язык,
автор: mischa06
Предмет: Русский язык,
автор: одинокийкит
Предмет: Английский язык,
автор: Аноним
Предмет: Физика,
автор: YarikKr