Предмет: Алгебра,
автор: greeenzly
помогите с алгеброй пожалуйста, в течении двух дней!!!!!
Приложения:
Ответы
Автор ответа:
2
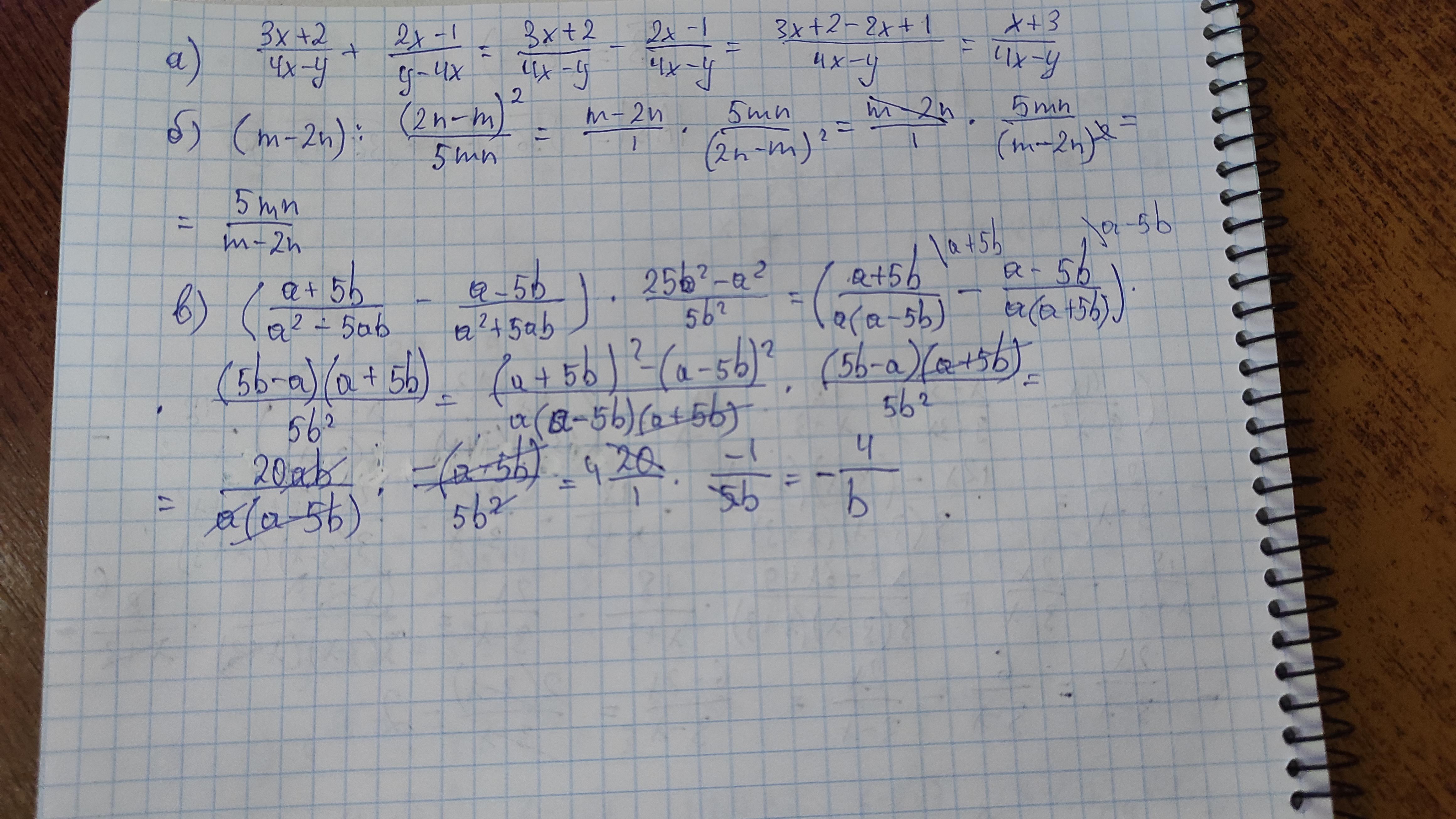
Ответ:
На фото
Объяснение:
Приложения:
greeenzly:
спасибо большое!!
Похожие вопросы
Предмет: Русский язык,
автор: лооогогл
Предмет: Русский язык,
автор: vladluzhinskiy
Предмет: Русский язык,
автор: pogosyantsovinar
Предмет: Математика,
автор: valentinaalijeva