Предмет: Алгебра,
автор: xxlka1
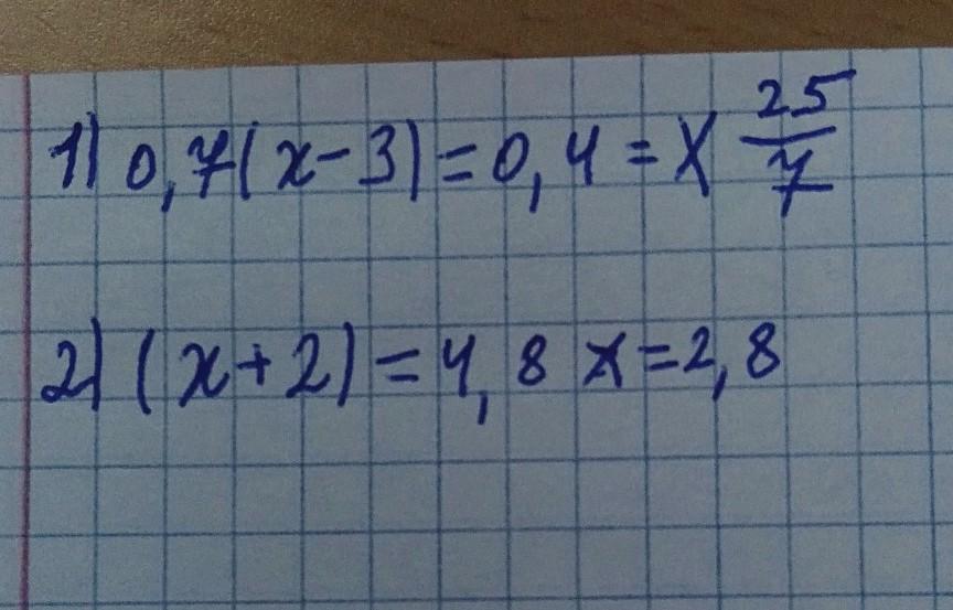
0.7(х-3)=0.4(х+2)=4.8
Ответы
Автор ответа:
0
Ответ:
вроде бы верно
Объяснение:
может быть не верно лучше спросить у мамы или у учителя
Приложения:
Похожие вопросы
Предмет: Русский язык,
автор: vadim7051347604
Предмет: Другие предметы,
автор: vana32
Предмет: Русский язык,
автор: maximovanadiy
Предмет: Математика,
автор: Ogani