Предмет: Алгебра, автор: mashacatt

упростите выражение, пожалуйста полностью,с решением,прошу ​

Приложения:

Ответы

Автор ответа: kamilmatematik100504
2

Ответ:

Объяснение:

  1. \large \boldsymbol {}  \ \ (x+y)^2=x^2+2xy+y^2    
  2. \large \boldsymbol {}  \ \ x^2-y^2=(x+y)(x-y)

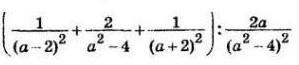
\large \boldsymbol {}   \\\\\ \displaystyle \bigg( \frac{1}{(a-2)^2 }+\frac{2}{a^2-4} +\frac{1}{(a+2)^2} }  \bigg) :\frac{2a}{(a^2-4)^2}  = \\\\\\ \bigg( \underbrace{\Big(\frac{1}{a-2}  \Big)^2}_{x^2}  +2\cdot \underbrace{\frac{1}{a-2} }_x \cdot \underbrace{\frac{1}{a+2}}    _y+\underbrace{\Big(\frac{1}{a+2} \Big)^2}_{y^2}  \bigg) \cdot  \frac{(a^2-4)^2}{2a}  =\\\\\\\bigg( \frac{1}{a-2} +\frac{1}{a+2} \bigg)^2\cdot \frac{(a^2-4)^2}{2a} = \\\\\\

\displaystyle \large \boldsymbol {}\bigg(  \frac{a+2+a-2}{(a^2-4)} \bigg)^2\cdot \frac{(a^2-4)}{2a}  =\frac{2a\cdot 2a}{(a^2-4)^2 \!\!\!\!\!\!\!\!\!\Big/} \cdot \frac{(a^2-4)^2 \!\!\!\!\!\!\!\!\!\Big/}{2a} =\frac{2a\cdot 2a \!\!\!\!\!/}{2a \!\!\!\!\!/}  =\boxed{2a}

Похожие вопросы