Предмет: Геометрия,
автор: dianad482
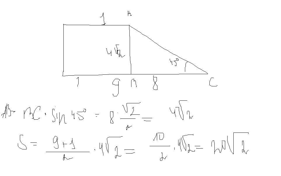
найдите площадь прямоугольной трапеции основания которой равны 9 и 1, большая боковая сторона составляет с основанием угол 45 градусов
Ответы
Автор ответа:
0
------------------------------------------------------------------------------------------------------------
Приложения:
Похожие вопросы
Предмет: Математика,
автор: katyakobyakova1505
Предмет: Алгебра,
автор: 6yTep6pog
Предмет: Математика,
автор: meyramgalimbek2012
Предмет: Алгебра,
автор: ниииииииииииииик
Предмет: Математика,
автор: Lianuv