Предмет: Алгебра,
автор: Marta200666
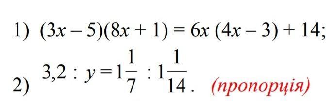
Решите пожалуйста! 7 клас!!
Приложения:
Ответы
Автор ответа:
1
Объяснение:
Если что-то будет непонятно - спрашивай. Тут тупая система ввода, так что решение на фото
Приложения:
Marta200666:
спасибо большое!!
Обращайся <3
тогда если вам не сложно в вопросах у меня есть ещё одно уравнение. Буду рада если поможете..
Конечно!
Похожие вопросы
Предмет: Окружающий мир,
автор: анджил11
Предмет: Английский язык,
автор: NatashaKoly
Предмет: Русский язык,
автор: julia19992
Предмет: Математика,
автор: jenifrya393
Предмет: Химия,
автор: kiur6660