Предмет: Алгебра,
автор: churavlevza
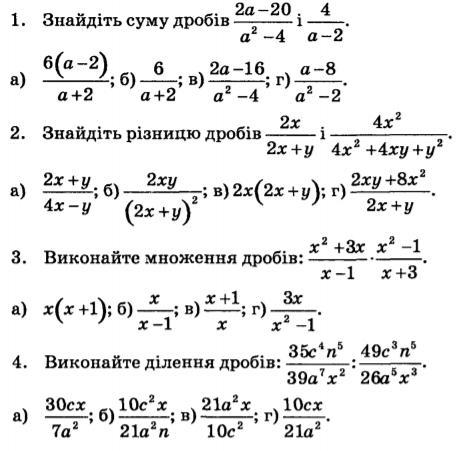
Помогите решить полностью с 1-4
Срочно!!!!!!!
Приложения:
Ответы
Автор ответа:
1
Ответ:
Смотри решение на фото выше
Приложения:
Похожие вопросы
Предмет: Русский язык,
автор: Аноним
Предмет: Английский язык,
автор: zeikom
Предмет: Английский язык,
автор: kfdkgnr
Предмет: Математика,
автор: Травканям
Предмет: Химия,
автор: aidarbahtyarow