Предмет: Алгебра,
автор: kepuch2
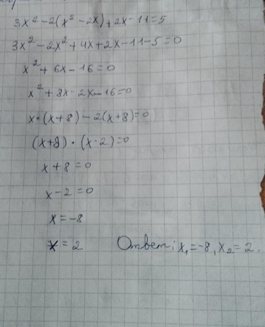
РЕШИТЕ УРАВНЕНИЕ
3x²-2(x²-2x)+2x-11=5
Ответы
Автор ответа:
0
Объяснение:
надеюсь, всё ясно)))))
Приложения:
Похожие вопросы
Предмет: Русский язык,
автор: ляля12345678901
Предмет: Русский язык,
автор: kashtanbbb
Предмет: Окружающий мир,
автор: лиза10091978
Предмет: Алгебра,
автор: pernik20121
Предмет: Математика,
автор: Аноним