Предмет: Математика,
автор: annzhukova15
помогите пожалуйста решить срочно!!!!!!!!! с решением пожалуйста!!!!!!!!!
Приложения:
Ответы
Автор ответа:
0
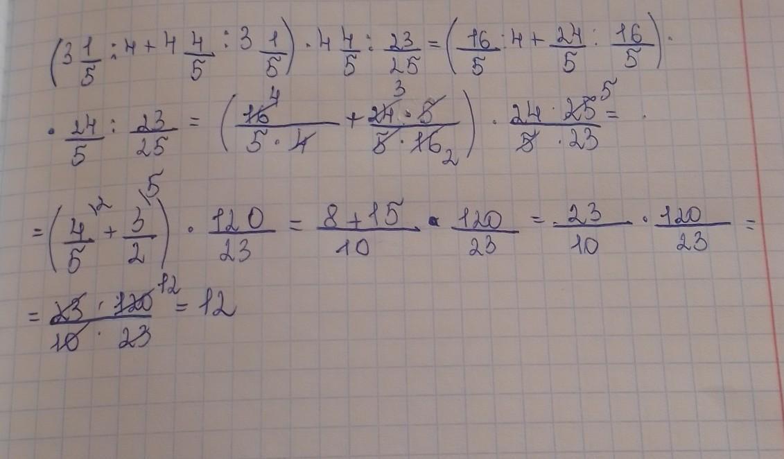
Ответ:
Решение на фотографии)
Приложения:
erikabrainly:
можете мне помочь с алгеброй? буду благодарна
Похожие вопросы
Предмет: Окружающий мир,
автор: pavelrad74
Предмет: Окружающий мир,
автор: zita789
Предмет: Русский язык,
автор: zalikcvcc
Предмет: Химия,
автор: mih58