Предмет: Алгебра, автор: donatdonatovic6

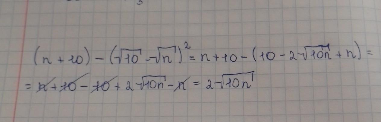
упростите выражение г)(n+10)-(√10-√n)^2 ​

Приложения:

Ответы

Автор ответа: Kabenova7
1

Ответ:

Решение на фотографии

Ответ: 2√10n

Приложения:
Похожие вопросы
Предмет: Русский язык, автор: 204101924
Предмет: Русский язык, автор: Аноним
30 БАЛЛОВ!!!!! Напишите к каждому предложение его тип: описание, повествование, рассуждение( не забудьте что есть типы сочетания, например Описание с элементами рассуждения и др) СПАСИБО КТО СДЕЛАЕТ!!!
1. Было ему тогда всего двадцать лет (брату его Ивану шел тогда двадцать четвертый год, а старшему их брату, Дмитрию, — двадцать восьмой).
2. Прежде всего объявляю, что этот юноша, Алеша, был вовсе не фанатик и, по-моему, по крайней мере, даже и не мистик вовсе.
3. Заранее скажу мое полное мнение: был он просто ранний человеколюбец, и если ударился на монастырскую дорогу, то потому только, что в то время она одна поразила его и представила ему, так сказать, идеал исхода рвавшейся из мрака мирской злобы к свету любви души его.
4. И поразила-то его эта дорога лишь потому, что на ней он встретил тогда необыкновенное, по его мнению, существо — нашего знаменитого монастырского старца Зосиму, к которому привязался всею горячею первою любовью своего неутолимого сердца.
5. Впрочем, я не спорю, что был он и тогда уже очень странен, начав даже с колыбели.
6. Кстати, я уже упоминал про него, что, оставшись после матери всего лишь по четвертому году, он запомнил ее потом на всю жизнь, ее лицо, ее ласки, «точно как будто она стоит предо мной живая».
7. Такие воспоминания могут запоминаться (и это всем известно) даже и из более раннего возраста, даже с двухлетнего, но лишь выступая всю жизнь как бы светлыми точками из мрака, как бы вырванным уголком из огромной картины, которая вся погасла и исчезла, кроме этого только уголочка.
8. Так точно было и с ним: он запомнил один вечер, летний, тихий, отворенное окно, косые лучи заходящего солнца (косые-то лучи и запомнились всего более), в комнате в углу образ, пред ним зажженную лампадку, а пред образом на коленях рыдающую как в истерике, со взвизгиваниями и вскрикиваниями, мать свою, схватившую его в обе руки, обнявшую его крепко до боли и молящую за него богородицу, протягивающую его из объятий своих обеими руками к образу как бы под покров богородице... и вдруг вбегает нянька и вырывает его у нее в испуге.
9. Вот картина!
10. Алеша запомнил в тот миг и лицо своей матери: он говорил, что оно было исступленное, но прекрасное, судя по тому, сколько мог он припомнить.
11. Но он редко кому любил поверять это воспоминание.
12. В детстве и юности он был мало экспансивен и даже мало разговорчив, но не от недоверия, не от робости или угрюмой нелюдимости, вовсе даже напротив, а от чего-то другого, от какой-то как бы внутренней заботы, собственно личной, до других не касавшейся, но столь для него важной, что он из-за нее как бы забывал других.
13. Но людей он любил: он, казалось, всю жизнь жил, совершенно веря в людей, а между тем никто и никогда не считал его ни простячком, ни наивным человеком.
14. Что-то было в нем, что говорило и внушало (да и всю жизнь потом), что он не хочет быть судьей людей, что он не захочет взять на себя осуждения и ни за что не осудит.
15. Казалось даже, что он всё допускал, нимало не осуждая, хотя часто очень горько грустя.
16. Мало того, в этом смысле он до того дошел, что его никто не мог ни удивить, ни испугать, и это даже в самой ранней своей молодости.
17. Явясь по двадцатому году к отцу, положительно в вертеп грязного разврата, он, целомудренный и чистый, лишь молча удалялся, когда глядеть было нестерпимо, но без малейшего вида презрения или осуждения кому бы то ни было.
18. Отец же, бывший когда-то приживальщик, а потому человек чуткий и тонкий на обиду, сначала недоверчиво и угрюмо его встретивший («много, дескать, молчит и много про себя рассуждает»), скоро кончил, однако же, тем, что стал его ужасно часто обнимать и целовать, не далее как через две какие-нибудь недели, правда с пьяными слезами, в хмельной чувствительности, но видно, что полюбив его искренно и глубоко и так, как никогда, конечно, не удавалось такому, как он, никого любить...
Предмет: Русский язык, автор: maruha3008