Предмет: Алгебра,
автор: lupap9449
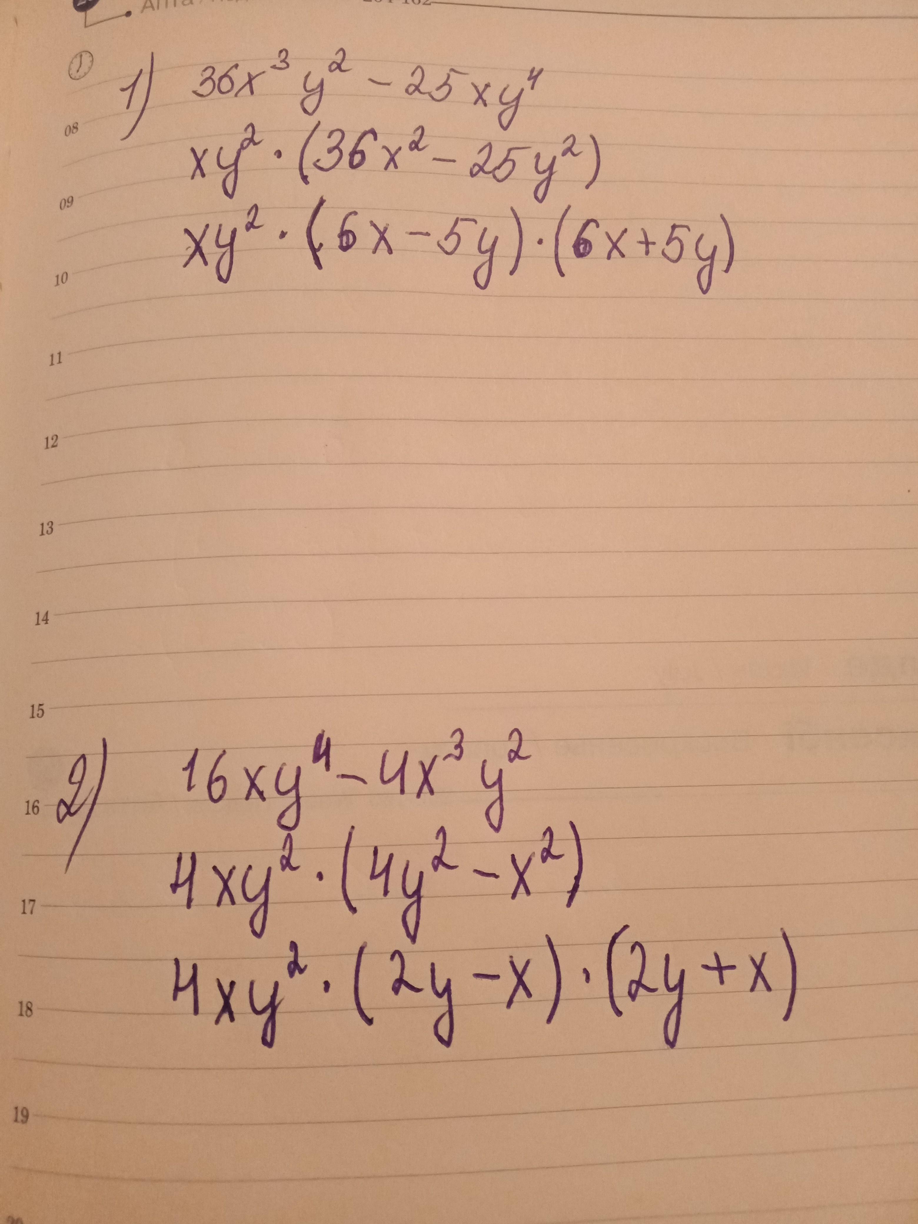
Разложите на множители плз помогите:1)36х³у²-25ху⁴
2)16ху⁴-4х³у²
Ответы
Автор ответа:
1
Ответ:
Жауабы осы
Объяснение:
Дұрыс деп ойлаймын
Приложения:
Похожие вопросы
Предмет: Технология,
автор: Аноним
Предмет: Русский язык,
автор: Atlana080914
Предмет: Русский язык,
автор: чс228
Предмет: История,
автор: AnnLucky