Предмет: Математика,
автор: mskskalmxn
помогите срочно пожалуйста
Приложения:
Ответы
Автор ответа:
1
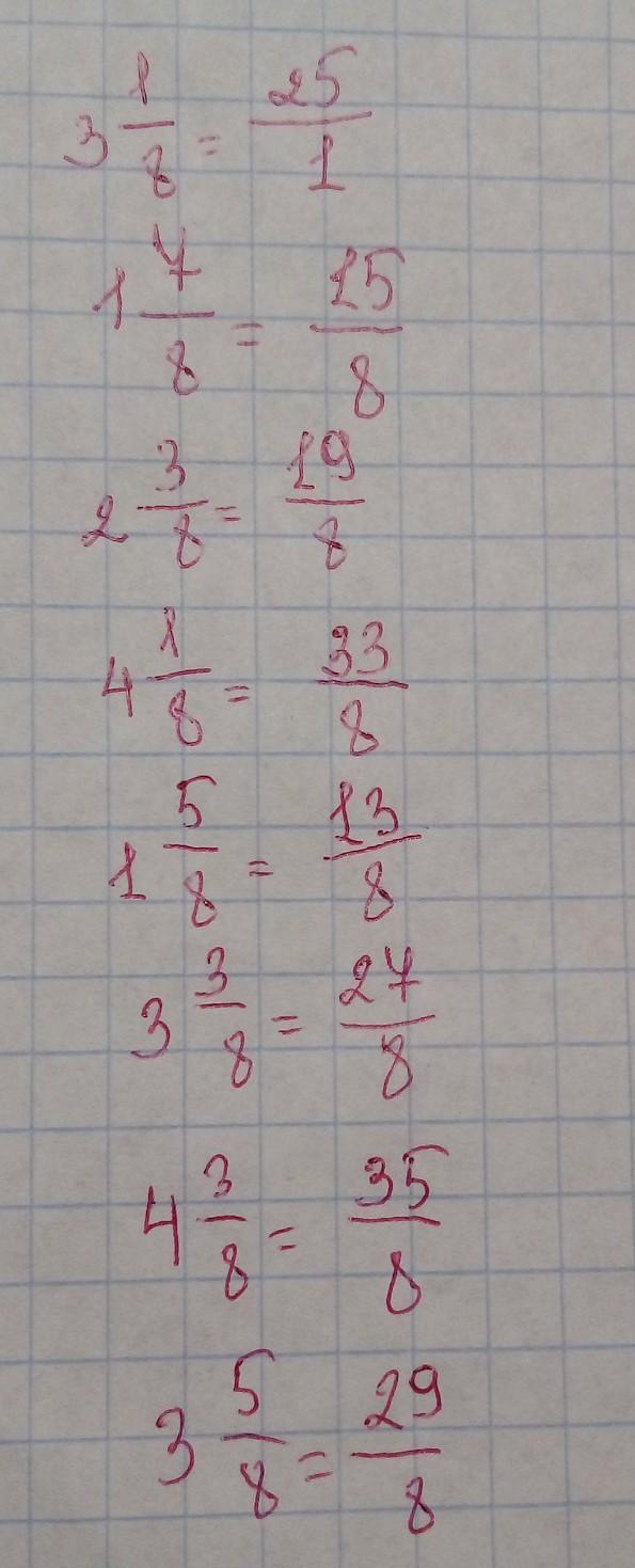
Ответ:
вот
Пошаговое объяснение:
всё должно быть правильно,но делала быстро
Приложения:
Похожие вопросы
Предмет: Английский язык,
автор: Аноним
Предмет: Русский язык,
автор: Куличик1
Предмет: Русский язык,
автор: 0ъ9
Предмет: Математика,
автор: lenasmetanina1
Предмет: Математика,
автор: дахазайкина1