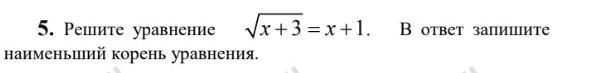
Предмет: Математика,
автор: Аноним
блин, столько вопросов,а баллов мало :(
РЕШЕНИЕ ПРИНИМАЮ ТОЛЬКО В ТЕТРАДИ!
Приложения:
Ответы
Автор ответа:
0
Ответ:
Пошаговое объяснение:
Приложения:
Автор ответа:
1
Ответ х=1
Решение задания прилагаю
Приложения:
Похожие вопросы
Предмет: Русский язык,
автор: Penolope
Предмет: Русский язык,
автор: Аноним
Предмет: Другие предметы,
автор: 151105
Предмет: Английский язык,
автор: Аноним