Предмет: Математика, автор: vvv183708

Помогите пожалуйста решить​

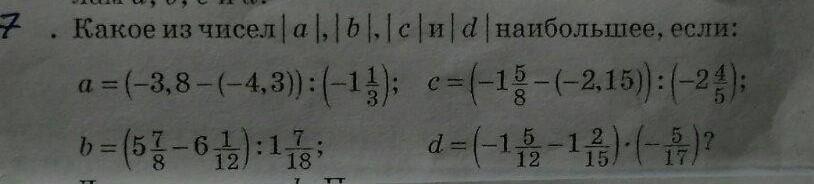
Приложения:

Ответы

Автор ответа: lakOR555
0

Ответ:

|d|

Пошаговое объяснение:

а = (-3,8 + 4,3) : ((-1*3+1)/3) =

= 0,5 : (-4/3) =

= 5/10 * (-3/4) =

= 1/2 * (-3/4) =

= -3/8 = -0,375

|-0.375| = 0.375

b = ((5*8+7)/8 - (6*12+1)/12) : (1*18+7)/18 =

= (47/8 - 73/12) : (25/18) =

1) 47/8 - 73/12.

Найти общий знаменатель: 8*3 = 24

8/2    12/2

4/2    6/2

2/2    3/3

24/8 = 3 и 24/12 = 2

(47*3 - 73*2)/24 = (141 - 146)/24 = -5/24

2) -5/24 * 18/25 = -1/24 * 18/5 = -1/8 * 6/5 = -1/4 * 3/5 = -3/20 = -0,15

|-0.15| = 0.15

с = (-13/8 + 2,15) : (-14/5) =

= (-1,625 + 2,15) : (-2,8) =

= 0,525 : (-2,8) =

= -5,25 : 28 = -0,1875

|-0.1875| = 0.1875

d = (-17/12 - 17/15) * (-5/17)

1) -17/12 - 17/15

Найти общий знаменатель: 12 * 5 = 60

12/2   15/3

6/2    5/5

3/3

60/12 = 5 i 60/15 = 4

(-17*5 - 17*4)/60 = (-85 - 68)/60 = -153/60 = -51/20

2) -51/20 * -5/17 = 3/20 * 5/1 = 3/4 = 0.75

|0.75| = 0.75

Похожие вопросы