Предмет: Математика,
автор: DragoNait123
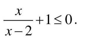
Помогите решить неравенство
Приложения:
Ответы
Автор ответа:
1
x/(x-2)<=-1 <=>
x<= 2 - x <=>
2x<=2 <=>
x<=1
DragoNait123:
Спасибо
нет за что
Автор ответа:
0
Ответ:
x∈[1;2)
Пошаговое объяснение:
Решение во вложении
Приложения:
Похожие вопросы
Предмет: Технология,
автор: maria3808
Предмет: Русский язык,
автор: marinasidmarina
Предмет: Русский язык,
автор: trend123424
Предмет: Химия,
автор: егор200322
Предмет: Русский язык,
автор: erstdsecvvcc