Предмет: Алгебра, автор: myhork

срочно нужно решить уравнение

Приложения:

Ответы

Автор ответа: MatrixOfsciences
1

Ответ:

х=2

Объяснение:

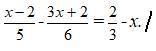
 \frac{x - 2}{5}   -  \frac{3x + 2}{6}  =  \frac{2}{3}  - x | \times 30 \\ 6(x - 2) - 5(3x + 2) = 2 \times 10 - 30x \\ 6x - 12 - 15x - 10 = 20 - 30x \\ 6x - 15x + 30x = 20 + 10 + 12 \\ 21x = 42 \\ x = 2

Похожие вопросы
Предмет: Русский язык, автор: sharuhanova1450