Предмет: Алгебра, автор: GluV

Приближенно вычислить сумму sin(1°)+sin(2°)+sin(3°)+...+sin(90°)


GluV: Приближенно вычислить. Вы ответ знаете. Пусть другие подумают.
igorShap: А, так Вы имели в виду приблизить функцию синуса аргументом! Понял
igorShap: А про приближенное вычисление лучше бы
сразу писать, потому под оценкой обычно понимают некоторый достаточно малый отрезок, в котором лежит значение выражения
mathgenius: Тут можно точно
mathgenius: Можно достаточно легко вывести формулы для суммы
mathgenius: А вот с произведение интереснее
mathgenius: Можно конечно в радианы, и мол в радианах примерно сам угол, а потом формула Стирлинга. Но мне кажется точность там сильно пострадает
mathgenius: Можно сделать оценку произведения по неравенству Коши, но точность тоже будет не ахти
mathgenius: Можно бесконечно повышать точность применяя прием, что я описал в том задании, но проблема в том, что чем на более высокий порядок замахиваешься, тем более трудоемкими будут вычисления
mathgenius: До 2,3 порядка разложения в тангенсе брать можно вполне.

Ответы

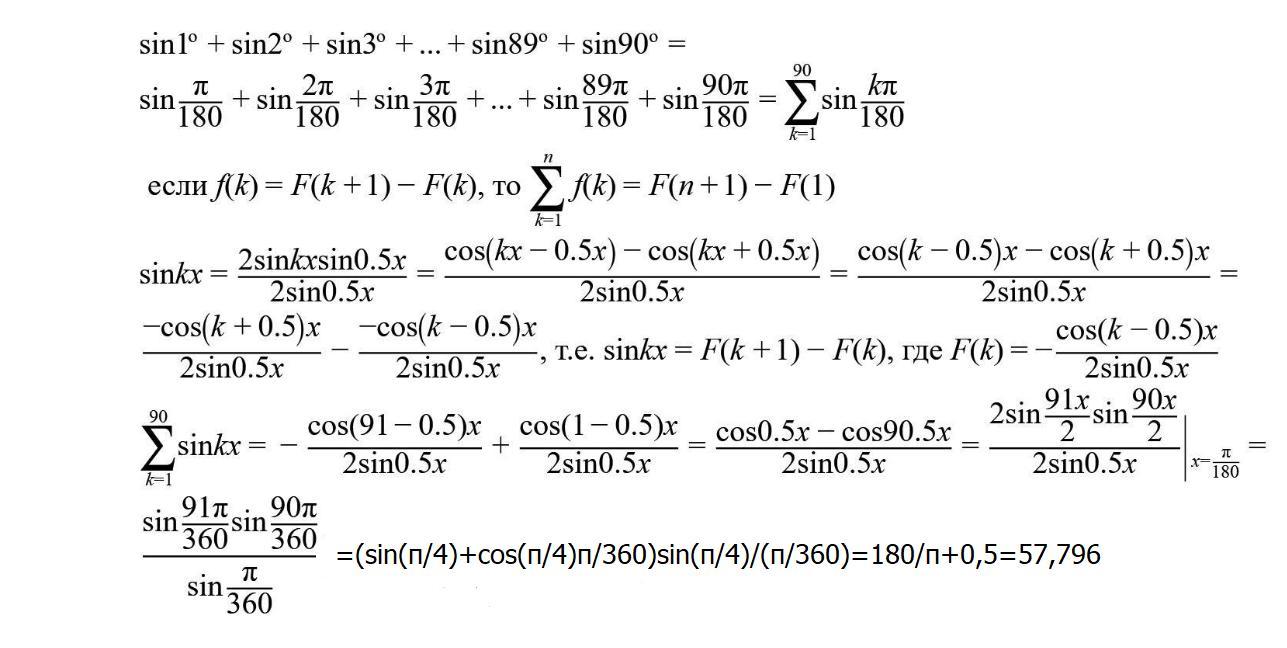
Автор ответа: palilov243659
1

Ответ:

≈180/π+0.5=57.796

Объяснение:

/////////////////////////////////////////////////////////

Приложения:

GluV: Выкладки правильные, численный ответ неверный.
palilov243659: А Вы умножьте 22,75 на 3,14 = 71,45
GluV: Нет, ответ не такой.
tamarabernukho: 57.79?
GluV: Да
palilov243659: готов переделать
palilov243659: (180+п/2)/п=57,796
palilov243659: нажмите кто-нибудь на флажок
palilov243659: спасибо
Похожие вопросы
Предмет: Английский язык, автор: Аноним
Предмет: Русский язык, автор: Umirbek705