Предмет: Алгебра,
автор: namjihan
![\sqrt[3]{9 - \sqrt{80} } + \sqrt[3]{9 + \sqrt{80} } \sqrt[3]{9 - \sqrt{80} } + \sqrt[3]{9 + \sqrt{80} }](https://tex.z-dn.net/?f=+%5Csqrt%5B3%5D%7B9+-++%5Csqrt%7B80%7D+%7D++%2B++%5Csqrt%5B3%5D%7B9+%2B++%5Csqrt%7B80%7D+%7D+)
Пожалуйста дайте ответ с полным объяснением!
Ответы
Автор ответа:
4
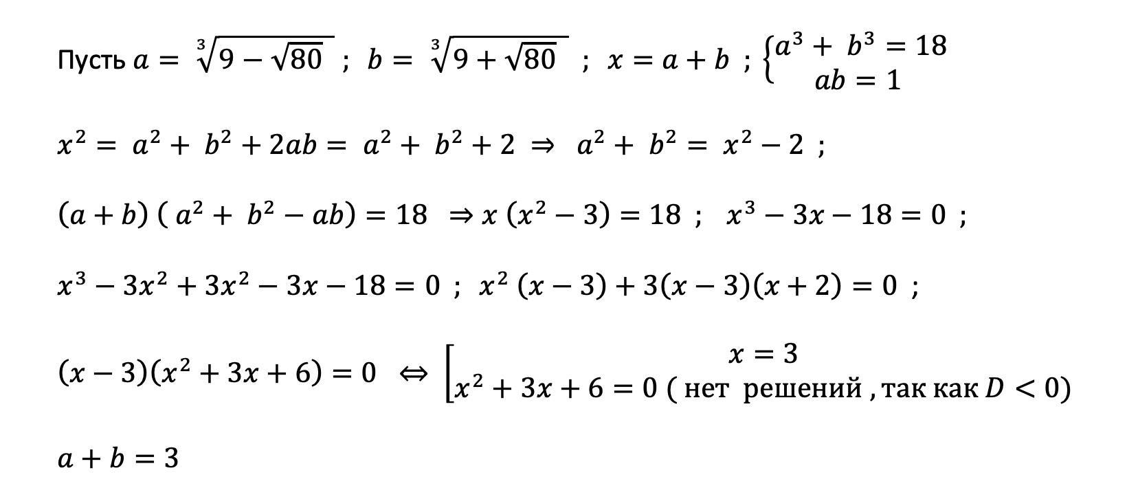
Ответ:
3 ///////////////////////
Объяснение:
Приложения:
MizoriesKun:
Красивое решение )
Автор ответа:
4
(a + b)³ = a³ + 3a²b + 3ab² + b³ = a³ + b³ + 3ab(a + b)
a² - b² = (a - b)(a + b)
пусть ∛(9 - √80) + ∛(9 + √80) = x
в куб
( ∛(9 - √80) + ∛(9 + √80))³ = x³
9 - √80 + 9 + √80 + 3∛(9 - √80)∛(9 + √80)(∛(9 - √80) + ∛(9 + √80)) = x³
∛(9 - √80)∛(9 + √80) = ∛(9² - √80²) = ∛(81 - 80) = 1
18 + 3x = x³
x³ - 3x - 18 = 0
x³ - 3x² + 3x² - 9x + 6x - 18 = 0
x²(x - 3) + 3(x - 3) + 6(x - 3) = 0
(x - 3)(x² + 3x + 6) = 0
x = 3
x² + 3x + 6 = 0
D = 9 - 24 < 0 нет действительных корней
ответ 3
Похожие вопросы
Предмет: Английский язык,
автор: latister
Предмет: Английский язык,
автор: лим12
Предмет: Английский язык,
автор: Аноним
Предмет: Математика,
автор: ermakovih
Предмет: Математика,
автор: лера0099