Предмет: Математика,
автор: KrisMaiks1
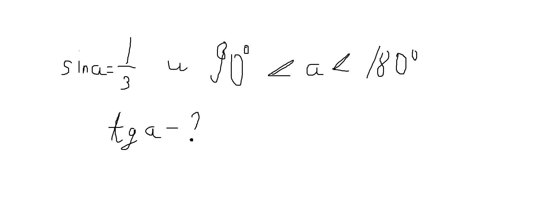
Известно что (фотка ниже)
последнее задание хелп пж
Приложения:
Ответы
Автор ответа:
0
Пошаговое объяснение:
если что то не понятно , но можешь спросить
Приложения:
KrisMaiks1:
в 2 там в конце 9-1/9?
Похожие вопросы
Предмет: Английский язык,
автор: MicoCo
Предмет: Русский язык,
автор: Jenya23481
Предмет: Русский язык,
автор: narinearaqelyan
Предмет: Русский язык,
автор: aldiar4