Предмет: Алгебра,
автор: svydkaadara07
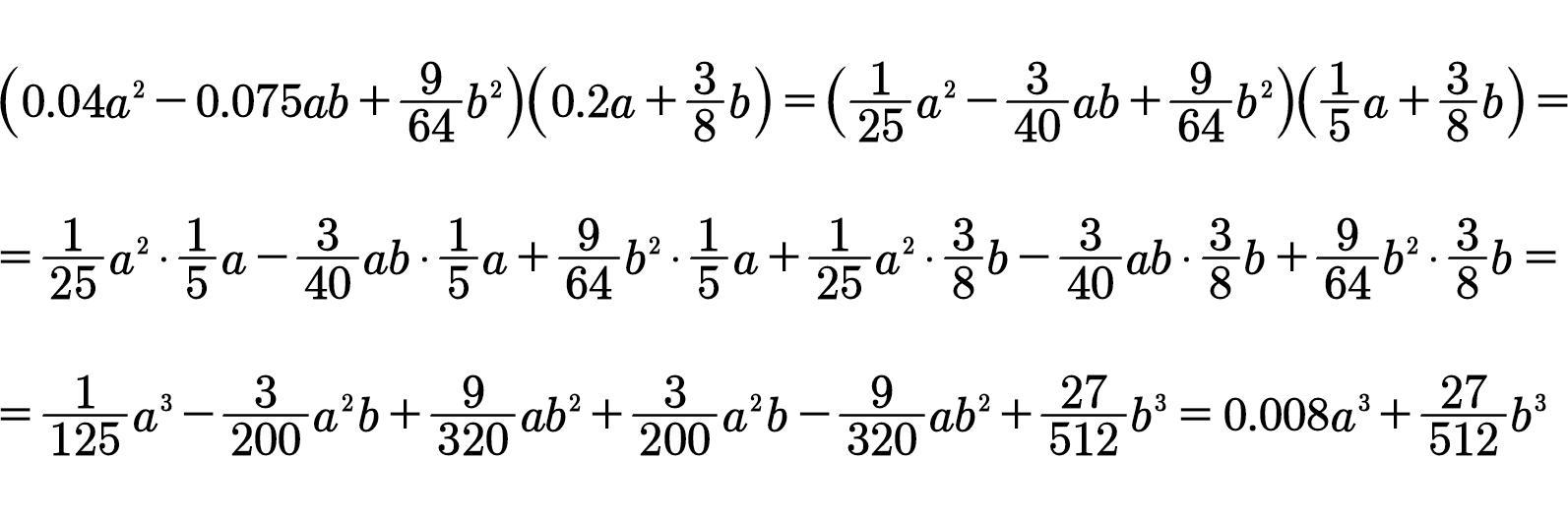
Перемножте многочлени 0, 04a2 0, 075ab +ь? 10, 2а + ь. Обери один варіант 27 512 64 5b3 0.0089 0,082? + o, oosa , o, oosa, за 0, 86 b3 3 помогите даю 80 баллов
Приложения:
Ответы
Автор ответа:
1
Ответ:
Объяснение:
Решение оформлено в приложении
MathMagic
Приложения:
Похожие вопросы
Предмет: Русский язык,
автор: Аноним
Предмет: Русский язык,
автор: ppooii
Предмет: Русский язык,
автор: zarifaaliyeva1
Предмет: Алгебра,
автор: WhataMataFon