Предмет: Алгебра, автор: Kristinyska

Помогите пожалуйста
решить уравнение

Приложения:

Ответы

Автор ответа: Соммон
3

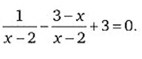
\frac{1}{x-2} - \frac{3-x}{x-2} + 3 = 0

Нужно привести 3 к общему знаменателю:

\frac{1}{x-2} - \frac{3-x}{x-2} + \frac{3(x-2)}{x-2} = 0

Далее нужно записать все выражения с общим знаменателем:

\frac{1-(3-x)+3(x-2)}{x-2} = 0

\frac{1-3+x+3x-6}{x-2} = 0

\frac{4x-8}{x-2} = 0

\frac{4(x-2)}{x-2} = 0

4 = 0

Уравнение не имеет корней.

Похожие вопросы
Предмет: Українська мова, автор: violettagame
Предмет: Литература, автор: aakbalaeva