Предмет: Химия,
автор: RASMUS1996
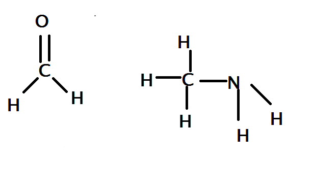
написать структурные формулы CH2O CH5N
Ответы
Автор ответа:
0
Картиночка...........................
Приложения:
Похожие вопросы
Предмет: Литература,
автор: CLIND
Предмет: Математика,
автор: aminaisl09
Предмет: Математика,
автор: smurnov2018
Предмет: Математика,
автор: vehjxrf
Предмет: Математика,
автор: Аноним