Предмет: Алгебра, автор: Аноним

упросить уравнение.
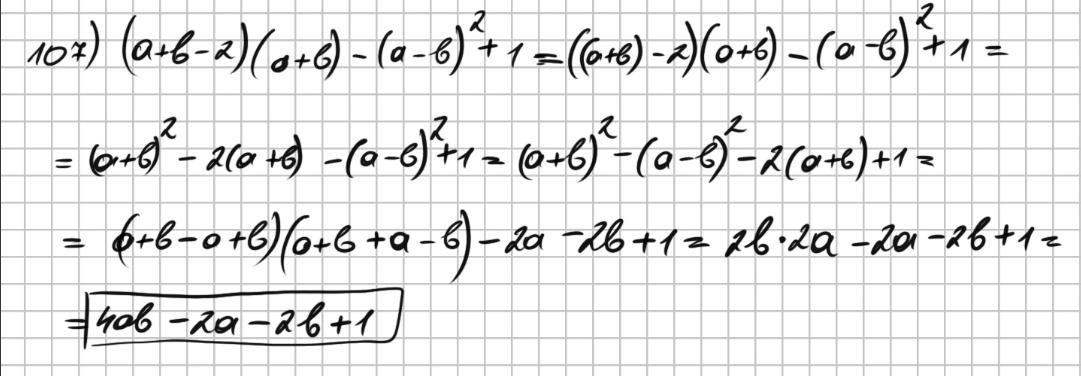
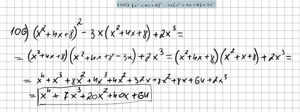
106-108

Приложения:

vanoua17: файл ппт?) ну спасибо
Аноним: :/
nematovsardorbek12: простите я не могла открыть файл
Аноним: перепишу уравнение
nematovsardorbek12: ок

Ответы

Автор ответа: Ilyazov45
1

----------------------------------------------

Приложения:

Аноним: спасибо!
Похожие вопросы
Предмет: Русский язык, автор: МарияСорок
Предмет: Русский язык, автор: мерлин6
Предмет: Химия, автор: lllplayer
Предмет: Математика, автор: kamilladz11