Предмет: Математика,
автор: midiaxo
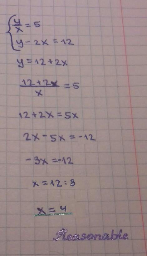
7*. Известно, что y/x=5 , а y-2 x=12 . Найдите x.
Ответы
Автор ответа:
1
Ответ:
х=4
Пошаговое объяснение:
выразим у из первого уравнения: у= 5х; выразим у из второго уравнения: у= 2х+12; Приравниваем полученные выражения: 5х = 2х +12 и решаем⇒ 5х - 2х = 12⇒ 3х = 12⇒ х = 12 :3⇒ х=4
Автор ответа:
6
Решение и ответ на фотографии
Приложения:
Похожие вопросы
Предмет: Русский язык,
автор: чика25
Предмет: Английский язык,
автор: Анна1116
Предмет: Английский язык,
автор: Sergiopasi4nik
Предмет: Математика,
автор: nuraika190607