Предмет: Математика,
автор: stkiselite
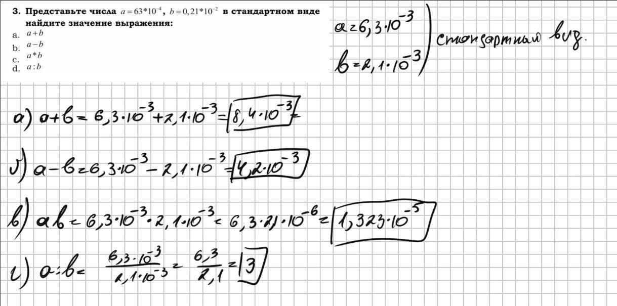
Помогите,пожалуйста срочно!
Приложения:
Ответы
Автор ответа:
2
---------------------------------
Приложения:
Похожие вопросы
Предмет: Русский язык,
автор: faridabbasov2008
Предмет: Русский язык,
автор: ravganiyatbekb
Предмет: Русский язык,
автор: ааааавв
Предмет: Русский язык,
автор: перизат23
Предмет: Русский язык,
автор: sviet2015