Предмет: Математика,
автор: irina2919
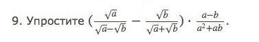
УПРОСТИТЬ
в числителе: корень из а, знаменатель корень из а минус корень из б
минус
в числителе: корень из б, в знаменателе корень из а плюс корень из б
всё умноженное на
в числителе а минус б
в знаменателе а в квадрате плюс аб
Приложения:
Ответы
Автор ответа:
0
Пошаговое объяснение:
см фото,,,,,,,,,,,,,,,,,,,,,,,,
Приложения:
Похожие вопросы
Предмет: Английский язык,
автор: Аполинария16
Предмет: Қазақ тiлi,
автор: jadira83
Предмет: Русский язык,
автор: волк87
Предмет: Математика,
автор: Lenysa35
Предмет: Русский язык,
автор: rfhfhhfh