Предмет: Алгебра,
автор: mimi7878
Помогите решить не обращайте внимание на всё остальное, это не верно.Только то что в самом начале.
Приложения:
Ответы
Автор ответа:
0
Ответ: - 1/76 .
Объяснение:
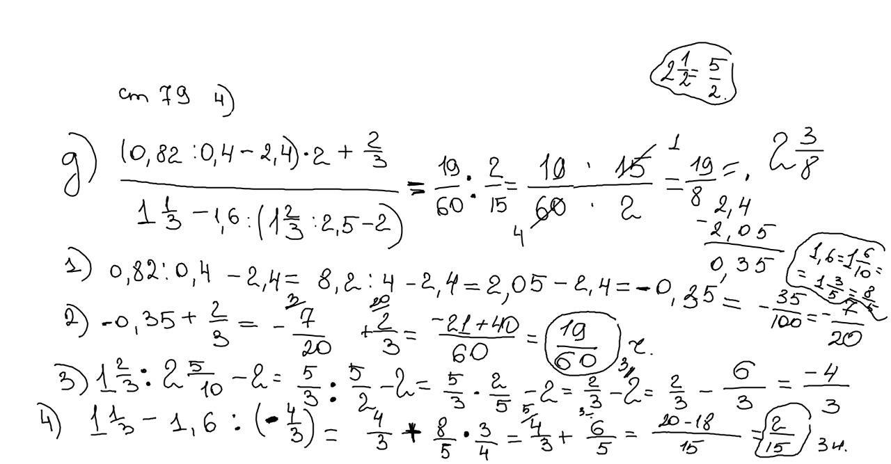
4 . д ) . . . . . . . . . . . .
1) 0,82 : 0,4 - 2,4 = 2,05 - 2,4 = - 0,35 ;
2) - 0,35 * 2 = - 0,7 ;
3) - 0,7 + 2/3 = - 1/30 ; - чисельник
4)1 2/3 : 2,5 - 2 = 2/3 - 2 = - 1 1/3 = - 4/3 ;
5) 1,6 :( - 4/3 ) = - 8/5 * 3/4 = - 6/5 = - 1,2 ;
6) 1 1/3 - ( - 1,2 ) = 1 1/3 + 1 1/5 = 2 8/15 ; -знаменник
7)- 1/30 : 2 8/15 = - 1/30 * 15/38 = - 1/76 .
Похожие вопросы
Предмет: Английский язык,
автор: лерунька3
Предмет: Русский язык,
автор: gydsgdyfshdfb64476
Предмет: Русский язык,
автор: лиза464
Предмет: Математика,
автор: lavrsmygalin