Предмет: Алгебра,
автор: dimazapreluk
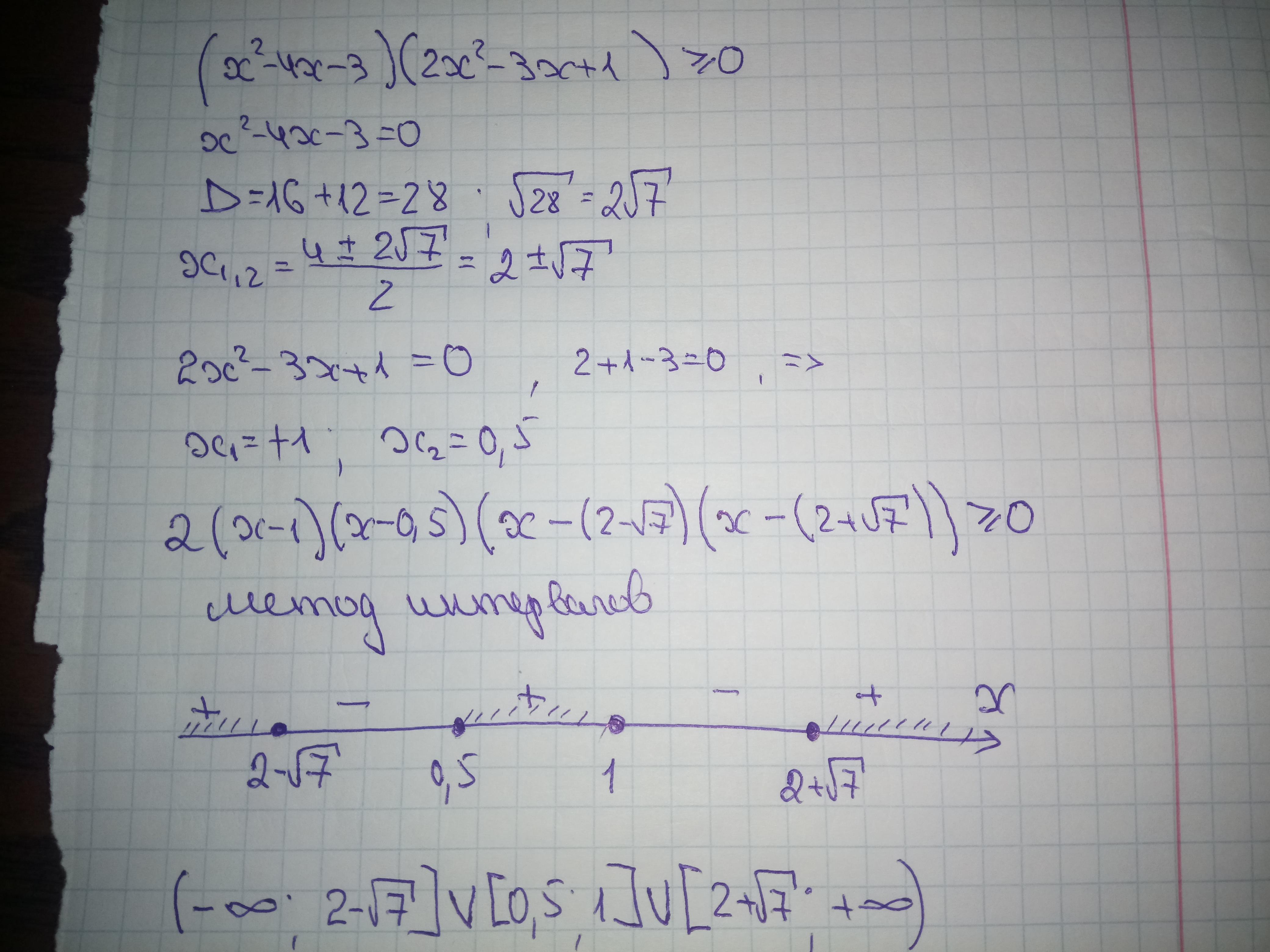
(x^2-4x-3)(2x^2-3x+1)≥0
Ответы
Автор ответа:
0
Решение задания прилагаю
Приложения:
Автор ответа:
0
Ответ:
ответ ниже
Объяснение:
Приложения:
Похожие вопросы
Предмет: Немецкий язык,
автор: ксюша6865
Предмет: Русский язык,
автор: Baiashova
Предмет: Русский язык,
автор: Аноним
Предмет: Математика,
автор: osorushidesup7sikw
Предмет: Химия,
автор: Rafael1709