Предмет: Алгебра,
автор: flowerstudio77
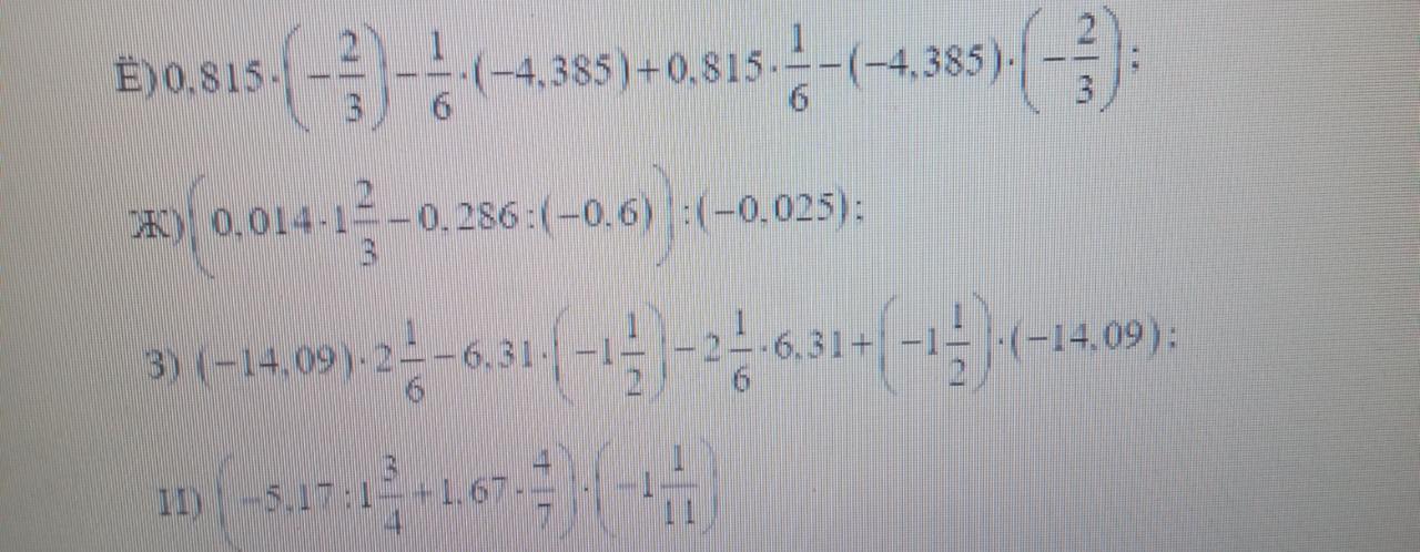
Нужно решить рациональным способом, вынося за скобки
Приложения:
Ответы
Автор ответа:
0
Объяснение:
см фото,,,,,,,,,,,,,,,,,,,,,,,
Приложения:
Похожие вопросы
Предмет: Русский язык,
автор: wwwnastykz
Предмет: Английский язык,
автор: 14виктория291
Предмет: Қазақ тiлi,
автор: bakutgul13122004
Предмет: Математика,
автор: Qweas11111
Предмет: Математика,
автор: ЛЕША207