Предмет: Алгебра,
автор: NastyaZaplavnaa
Срочно 20 б. Найдите значение выражения
Приложения:
Ответы
Автор ответа:
0
Ответ:
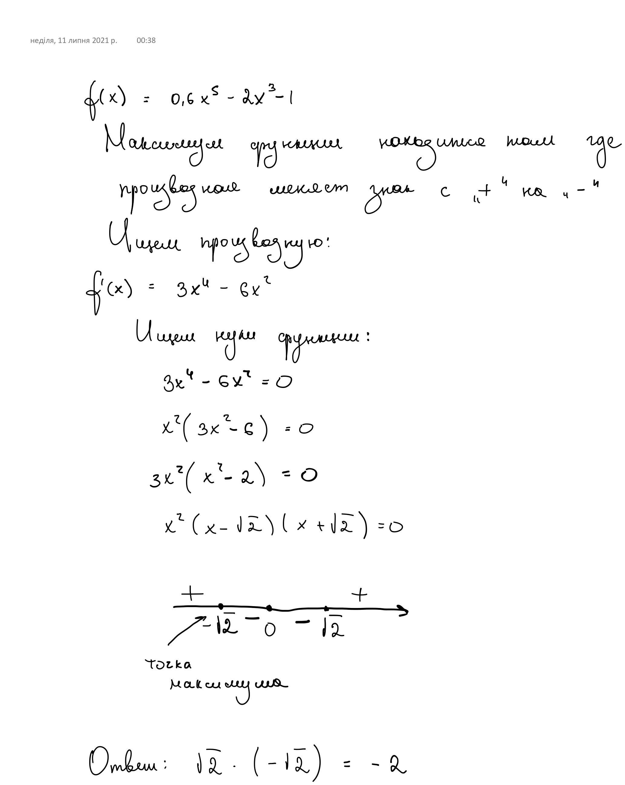
-2
Объяснение:
Решение на фото. Точка максимума функции:
Приложения:
Похожие вопросы
Предмет: Русский язык,
автор: muradim20062
Предмет: Русский язык,
автор: Anechka236
Предмет: Беларуская мова,
автор: ecross324
Предмет: Химия,
автор: theyoungnutp1j457
Предмет: Алгебра,
автор: kkksalka111