Предмет: Математика, автор: nikitakorolev509

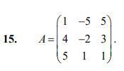
В задачах 11 – 20 дана невырожденная матрица A. Найти обратную матрицу A-1
и пользуясь правилом умножения матриц, показать, что A * A-1 = E ,где E –единичная матрица.

Приложения:

Ответы

Автор ответа: Удачник66
0

Ответ:

Пошаговое объяснение:

Сначала найдем определитель этой матрицы.

Как его искать, я расписывать не буду, вы сами должны знать.

|A| = 1(-2)*1 + 4*1*5 + 5(-5)*3 - 5(-2)*5 - 4(-5)*1 - 1*1*3 =

= -2 + 20 - 75 + 50 + 20 - 3 = 10

Определитель не равен 0, значит, обратная матрица существует.

Теперь находим миноры.

M(1,1)=\left|\begin{array}{cc}-2&3\\1&1&\end{array}\right|=-2-3=-5

M(1,2)=\left|\begin{array}{cc}4&3\\5&1&\end{array}\right|=4-15=-11

M(1,3)=\left|\begin{array}{cc}4&-2\\5&1&\end{array}\right|=4-(-10)=14

M(2,1)=\left|\begin{array}{cc}-5&5\\1&1&\end{array}\right|=-5-5=-10

M(2,2)=\left|\begin{array}{cc}1&5\\5&1&\end{array}\right|=1-25=-24

M(2,3)=\left|\begin{array}{cc}1&-5\\5&1&\end{array}\right|=1-(-25)=26

M(3,1)=\left|\begin{array}{cc}-5&5\\-2&3&\end{array}\right|=-15-(-10)=-5

M(3,2)=\left|\begin{array}{cc}1&5\\4&3&\end{array}\right|=3-20=-17

M(3,3)=\left|\begin{array}{cc}1&-5\\4&-2&\end{array}\right|=-2-(-20)=18

Составляем матрицу алгебраических дополнений:

A_* = \left(\begin{array}{ccc}-5&11&14\\10&-24&-26\\-5&17&18\end{array}\right)

Я поменял знаки у тех миноров, у которых сумма индексов нечетна, то есть у M(1,2), M(2,1), M(2,3), M(3,2)

Транспонированная матрица алгебраических дополнений:

A_*^T = \left(\begin{array}{ccc}-5&10&-5\\11&-24&17\\14&-26&18\end{array}\right)

Обратная матрица:

A^{-1}=\frac{1}{|A|}*A_*^T=\frac{1}{10} \left(\begin{array}{ccc}-5&10&-5\\11&-24&17\\14&-26&18\end{array}\right)=\left(\begin{array}{ccc}-0,5&1&-0,5\\1,1&-2,4&1,7\\1,4&-2,6&1,8\end{array}\right)

Всё!

Похожие вопросы
Предмет: Математика, автор: shundeva11
Предмет: Математика, автор: Nikblack999