Предмет: Математика, автор: Аноним

ПОМОГИТЕ СРОЧНО ПОЖАЛУЙСТА!!!!

Приложения:

Ответы

Автор ответа: Alexandr130398
0

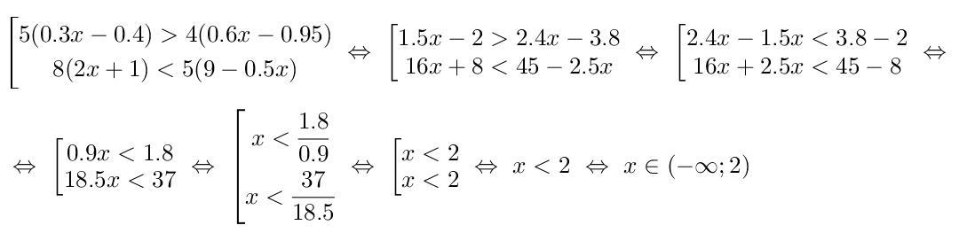
Ответ:

x<2 или x∈(-∞;2) - смотря как вы записываете ответ

Пошаговое объяснение:

Приложения:
Автор ответа: NNNLLL54
0

Ответ:

\left[\begin{array}{l}5(0,3x-0,4)&gt;4(0,6x-0,95)\ |\cdot 100\\8(2x+1)&lt;5(9-0,5x)\ |\cdot 2\end{array}\right\ \ \left[\begin{array}{l}5(30x-40)&gt;4(60x-95)\\16(2x+1)&lt;5(18-x)\end{array}\right\\\\\\\left[\begin{array}{l}150x-240x&gt;200-380\\32x+5x&lt;90-16\end{array}\right\ \ \left[\begin{array}{l}-90x&gt;-180\\37x&lt;74\end{array}\right\ \ \left[\begin{array}{l}x&lt;2\\x&lt;2\end{array}\right\\\\\\x\in (-\infty ;\ 2\ )

Похожие вопросы
Предмет: Русский язык, автор: ляля202
Предмет: Биология, автор: арсен202