Предмет: Математика,
автор: Аноним
ПРОШУ ПОМОГИТЕ!!!!ЭТО ОЧЕНЬ ВАЖНО!!!СРОЧНО!!!ДАЮ 35 БАЛЛОВ!!!
Приложения:
Ответы
Автор ответа:
0
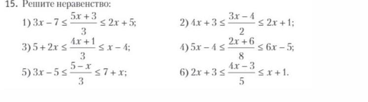
Покажу на примере 5-го уравнения:
1 вариант:
{ (5-x)/3 >= 3x-5
{ (5-x)/3 <= 7+x
{ 5-x >= 9x-15
{ 5-x <= 21+3x
{ 10x <= 20
{ 4x >= -16
{ x <= 2
{ x >= -4
2 вариант:
3x - 5 <= (5 - x) / 3 <= 7 + x
9x - 15 <= 5 - x <= 21 + 3x
9x - 20 <= -x <= 16 + 3x
16 + 3x <= x <= 9x - 20 (Или же -9x + 20 >= x >= -3x - 16)
{ x <= -9x + 20
{ x >= -3x - 16
{ 10x <= 20
{ 4x >= -16
Ответ: x ∈ [-4; 2]
P.S. Где "{" - часть системы уравнений.
Похожие вопросы
Предмет: Русский язык,
автор: Anaandra1
Предмет: Русский язык,
автор: verevkina1
Предмет: Қазақ тiлi,
автор: аека12
Предмет: Геометрия,
автор: lizalife2
Предмет: Русский язык,
автор: антон804