Предмет: Математика, автор: borzovdima2014

Найдите частные производные первого и второго порядка заданной функции: СРОЧНО!!!!!

Приложения:

sergeybasso: показатель степени у y не читается

Ответы

Автор ответа: Miroslava227
4

Ответ:

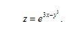
z =  {e}^{3x -  {y}^{3} }

z'_x =  {e}^{3x -  {y}^{3} }  \times 3

z'_y =  {e}^{3x -  {y}^{3} }  \times ( - 3 {y}^{2}) =  - 3 {y}^{2}   {e}^{3x -  {y}^{3} }  \\

z''_{xx} = 3 {e}^{3x -  {y}^{3} }  \times 3 = 9 {e}^{3x -  {y}^{3} }

z''_{yy} = ( - 3 {y}^{2} ) {e}^{3x -  {y}^{3} } + ( e {}^{3x -  {y}^{3} } )'_y \times ( - 3 {y}^{2} ) =  \\  =  - 6y {e}^{ 3x -  {y}^{3} }  - 3 {y}^{2}  {e}^{3x -  {y}^{3} }  \times ( - 3 {y}^{2} ) =  \\  - 3y {e}^{3x -  {y}^{3} } (2 + 3 {y}^{3} )

z''_{xy} = z''_{yx} = (3 {e}^{3x -  {y}^{3} } )'_y = 3 {e}^{3x -  {y}^{3} }  \times ( - 3 {y}^{2} ) =  \\  =  - 9 {y}^{2}  {e}^{3x -  {y}^{3} }


slava2121: Мирослава, здравствуйте. Можете пожалуйста помочь решить теорию вероятности?
kraj0985: Здравствуйте, Miroslava227. Помогите пожалуйста по математике (10-11 класс). Заранее благодарю. https://znanija.com/task/45116946
Nutacdu: Мне пожалуйста помогите
anonimnyja142: Мирослава, здравствуйте. Не могли бы вы, мне помочь ?
Похожие вопросы
Предмет: Русский язык, автор: seda0383mailru1