Предмет: Математика, автор: Snak324

Помогите решить! Срочно!!!!!

Приложения:

Naro4Ka2021: 13 ; 2

Ответы

Автор ответа: Naro4Ka2021
1

Ответ:

a)  13;   b) 2

Пошаговое объяснение:)

a.

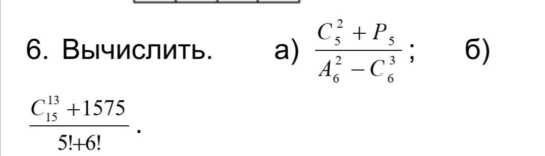
C^{n} _{m} = \frac{m!}{(m-n)!n!} \\\\C^{2} _{5} = \frac{5!}{(5-2)! *2!} =\frac{5!}{2! 3!} =\frac{4*5}{2} =10\\\\C^{3} _{6} = \frac{6!}{(6-3)! *3!} \frac{4*5*6}{6} =20\\\\P=n!;\;\;\;\ P_5=5!=1*2*3*4*5=120\\\\A^{2} _{6} =\frac{6! }{(6-2)! } =\frac{6! }{4! } =5*6=30

\frac{C^{2}_5+P_5 }{A^2_5-C^3_6} =\frac{10+120}{30-20} =\frac{130}{10} =13

b.

\frac{C^{13}_{15}+1575}{5! +6! } =\frac{105+1575}{120+720} =\frac{1680}{840}=2\\\\\\C^{13}_{15}=\frac{14*15}{2} =105\\\\5!=2*3*4*5=120\\\\6!=5!*6=120*6=720\\

Автор ответа: shavrinatv
1

Ответ:

Пошаговое объяснение:

На фото

Приложения:
Похожие вопросы
Предмет: Окружающий мир, автор: Мяня1