Предмет: Геометрия,
автор: uliamartemanova004
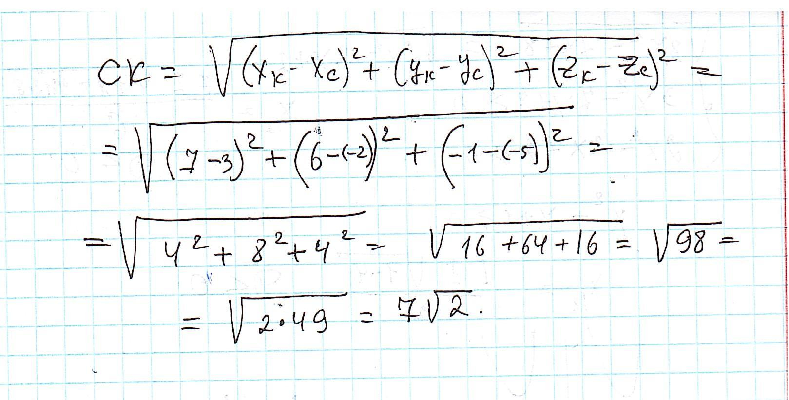
Найдите длину отрезка СК, если С (3;-2;-5), К(7;6;-1).
Ответы
Автор ответа:
2
Ответ:
Объяснение:
во вложении
Приложения:
Похожие вопросы
Предмет: Қазақ тiлi,
автор: Тора1603
Предмет: Русский язык,
автор: Аноним
Предмет: Русский язык,
автор: mrkiosse
Предмет: Литература,
автор: GalkinaSofia