Предмет: Математика, автор: awakinnnnnnnnnnn

Правильно решите, очень нужно

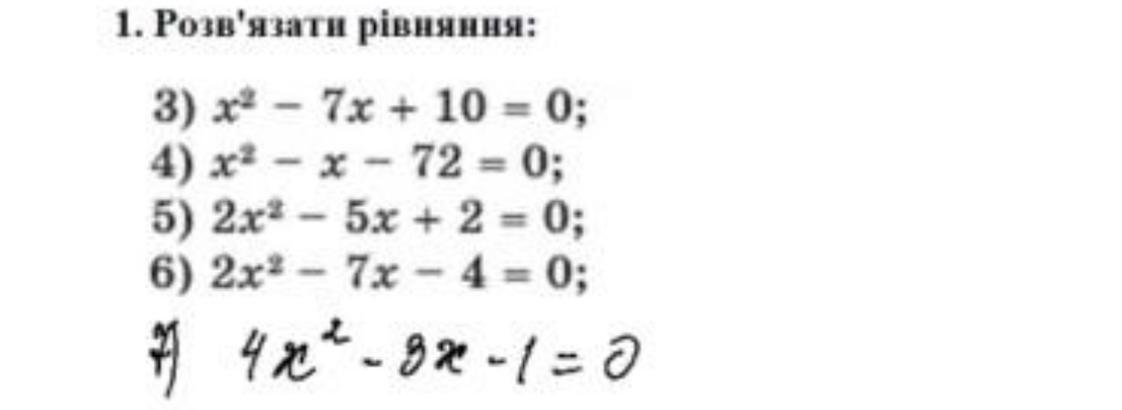
Приложения:

Ответы

Автор ответа: Nikita2422
0

Можешь решить через дискриминант первые 2 уравнения, но это дольше.

Приложения:

Nikita2422: ой у меня не правильно)
Автор ответа: misaney
1

\displaystyle3)\ x^2-7x+10=0\\\\a=1;\ b=-7;\ c=10\\\\D=b^2-4ac=(-7)^2-4\cdot1\cdot10=49-40=9\\\\x_{1,2}=\dfrac{-b\pm\sqrt{D}}{2a}=\dfrac{-(-7)\pm\sqrt{9}}{2\cdot1}=\dfrac{7\pm3}{2}\\\\x_1=\dfrac{7-3}{2}=\dfrac{4}{2}=2\\\\x_2=\dfrac{7+3}{2}=\dfrac{10}{2}=5

4)\ x^2-x-72=0\\\\a=1;\ b=-1;\ c=-72\\\\D=b^2-4ac=(-1)^2-4\cdot1\cdot(-72)=1+288=289\\\\x_{1,2}=\dfrac{-b\pm\sqrt{D}}{2a}=\dfrac{-(-1)\pm\sqrt{289}}{2\cdot1}=\dfrac{1\pm{17}}{2}\\\\x_1=\dfrac{1-17}{2}=\dfrac{-16}{2}=-8\\\\x_2=\dfrac{1+17}{2}=\dfrac{18}{2}=9

5)\ 2x^2-5x+2=0\\\\a=2;\ b=-5;\ c=2\\\\D=b^2-4ac=(-5)^2-4\cdot2\cdot2=25-16=9\\\\x_{1,2}=\dfrac{-b\pm\sqrt{D}}{2a}=\dfrac{-(-5)\pm\sqrt{9}}{2\cdot2}=\dfrac{5\pm{3}}{4}\\\\x_1=\dfrac{5-3}{4}=\dfrac{2}{4}=\dfrac{1}{2}\\\\x_2=\dfrac{5+3}{4}=\dfrac{8}{4}=2

6)\ 2x^2-7x-4=0\\\\a=2;\ b=-7;\ c=-4\\\\D=b^2-4ac=(-7)^2-4\cdot2\cdot(-4)=49+32=81\\\\x_{1,2}=\dfrac{-b\pm\sqrt{D}}{2a}=\dfrac{-(-7)\pm\sqrt{81}}{2\cdot2}=\dfrac{7\pm{9}}{4}\\\\x_1=\dfrac{7-9}{4}=\dfrac{-2}{4}=-\dfrac{1}{2}\\\\x_2=\dfrac{7+9}{4}=\dfrac{16}{4}=4

7)\ 4x^2-3x-1=0\\\\a=4;\ b=-3;\ c=-1\\\\D=b^2-4ac=(-3)^2-4\cdot4\cdot(-1)=9+16=25\\\\x_{1,2}=\dfrac{-b\pm\sqrt{D}}{2a}=\dfrac{-(-3)\pm\sqrt{25}}{2\cdot4}=\dfrac{3\pm{5}}{8}\\\\x_1=\dfrac{3-5}{8}=-\dfrac{2}{8}=-\dfrac{1}{4}\\\\x_2=\dfrac{3+5}{8}=\dfrac{8}{8}=1

Похожие вопросы
Предмет: Қазақ тiлi, автор: Zhadira1
Предмет: Английский язык, автор: danil289