Предмет: Геометрия,
автор: gnevnov88
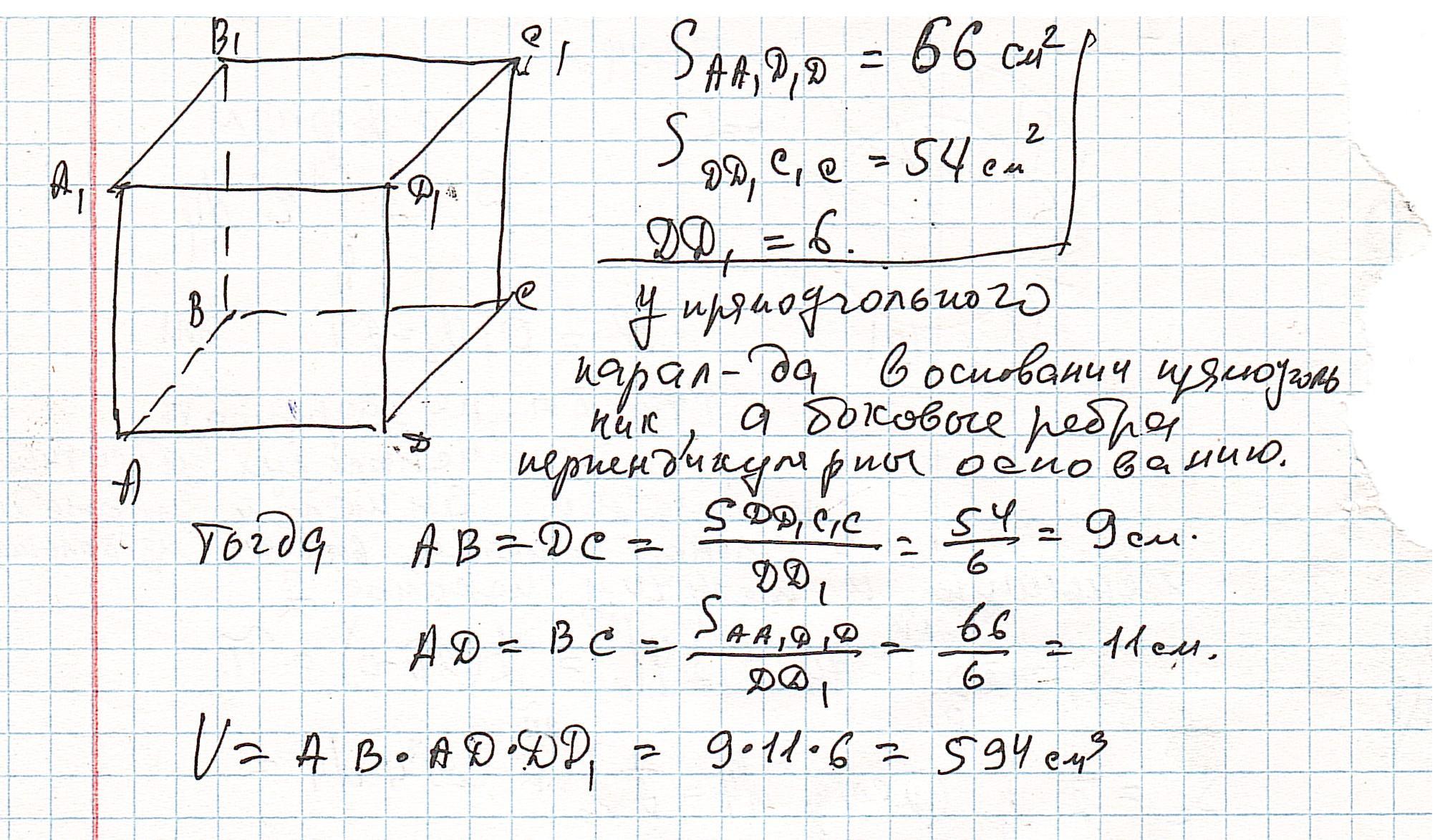
площади двух граней прямоугольного параллелепипеда равны 54 см^2 и 66 cм^2 а длина их общего ребра 6см.Найдит объём параллелепипеда
Ответы
Автор ответа:
0
Ответ: 594 куб см
Объяснение:
Грани являются прямоугольниками, поэтому их площадь равна высота умноженная на на сторону основания. Следовательно, стороны основания
АВ=CD = S(DD1C1C)/DD1
AD = BC = S(AA1D1D)/DD1
Приложения:
Похожие вопросы
Предмет: Окружающий мир,
автор: AlYoNaChUgUnOvA
Предмет: Другие предметы,
автор: katya300499
Предмет: Русский язык,
автор: НикитаПанкрухин
Предмет: Алгебра,
автор: Аноним
Предмет: Математика,
автор: 228567889