Предмет: Математика,
автор: krillypypy13
помогите пожалуйста решить это
Приложения:
Ответы
Автор ответа:
0
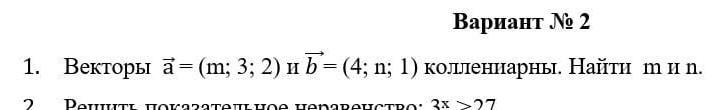
Ответ:
а=(m;3;2)
b=(4;n;1)
m/4=3/n=2/1
m/4=2
m=8
3/n=2
2n=3
n=1,5
a=(8;3;2)
b=(4;1,5;1)
Похожие вопросы
Предмет: Окружающий мир,
автор: juliap2010
Предмет: Русский язык,
автор: 2611981
Предмет: Английский язык,
автор: siga20001
Предмет: Математика,
автор: masha075
Предмет: Литература,
автор: karinapietrova