Предмет: Математика, автор: deleted-20187992

Я не знаю почему в предыдущем вопросе так мало баллов получилось, я хотела 50 выставить​

Приложения:

Ответы

Автор ответа: Artsounds
2

Ответ:

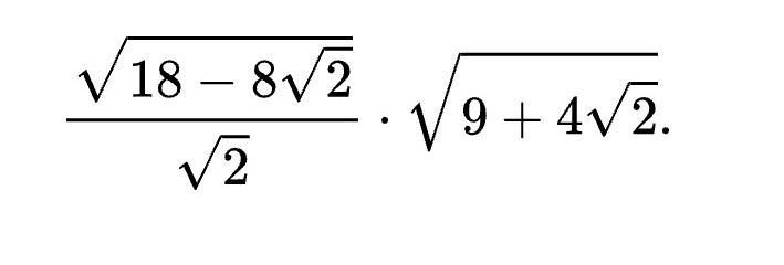
 \frac{ \sqrt{18 - 8 \sqrt{2} } }{ \sqrt{2} }  \times  \sqrt{9 + 4 \sqrt{2} }  \\  \\  \frac{16 - 8  \sqrt{2} + 2 }{ \sqrt{2} }  \times \sqrt{1 + 4 \sqrt{2}  + 8}     \\\\  \boxed{a {}^{2} \:  \:   -  + \:  \:  2ab + b {}^{2}  = (a  \:  \:  + -  \:  \: b) {}^{2} } \\  \\  \frac{ \sqrt{(4 -   \sqrt{2}) {}^{2}  } }{ \sqrt{2} }  \times  \sqrt{(1 + 2 \sqrt{2} ) {}^{2} }  \\  \\  \frac{4 -  \sqrt{2} }{ \sqrt{2} }  \times (1 + 2 \sqrt{2} {} ) \\  \\  \frac{(4 -  \sqrt{2} ) \times (1 + 2  \sqrt{2})  }{ \sqrt{2} }  \\   \\  \frac{4 + 4 \times 2 \sqrt{2}  -  \sqrt{2}  -  \sqrt{2}  \times 2 \sqrt{2} }{ \sqrt{2} }  \\ \\  \frac{4 + 8 \sqrt{2}    -  \sqrt{2} - 4 }{ \sqrt{2} }  \\  \\  \frac{8 \sqrt{2} -  \sqrt{2}  }{ \sqrt{2} }  \\  \\  \frac{(8 - 1) \sqrt{2} }{ \sqrt{2} } \\  \\  \frac{7 \sqrt{2} }{ \sqrt{2} }  \\  \\  \boxed{7}

Приложения:

deleted-20187992: Большое спасибо
Автор ответа: Iife20
6

Пошаговое объяснение:

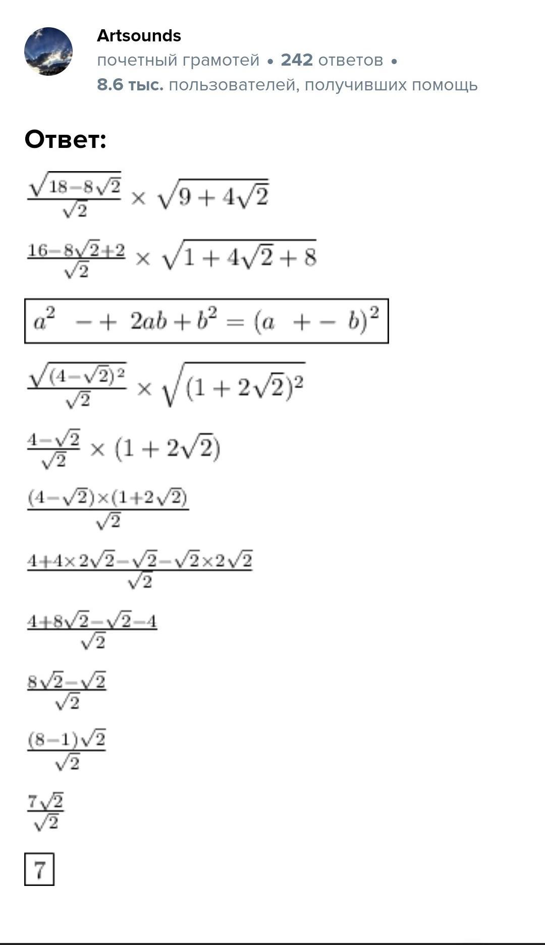
\\    \frac{ \sqrt{18 - 8 \sqrt{2} } }{ \sqrt{2} }  \times  \sqrt{9 + 4 \sqrt{2} } =  \\  \\   =  \frac{ \sqrt{2(9 - 4 \sqrt{2} } ) \times  \sqrt{9 + 4 \sqrt{2} }  }{ \sqrt{2} }  =  \\  \\  =  \frac{ \sqrt{2(9 - 4 \sqrt{2})(9 + 4 \sqrt{2})  } }{ \sqrt{2} }  =  \\  \\  =  \frac{ \sqrt{2(81 - (4 \sqrt{2}) {}^{2})  } }{ \sqrt{2} }  = \\  \\  =   \frac{ \sqrt{2(81 - 16 \times 2}) }{ \sqrt{2} }  =  \frac{ \sqrt{2(81 - 32}) }{ \sqrt{2} }  =  \\  \\  =  \frac{ \sqrt{2 \times 49} }{ \sqrt{2} }  =  \frac{7 \sqrt{2} }{ \sqrt{2} }  = 7

В решении использована формула сокращённого умножения:

(a–b)(a+b)=a²–b²


deleted-20187992: Спасибо большое
Iife20: Рада, что помогла))
Похожие вопросы
Предмет: Другие предметы, автор: olgavolkova1