Предмет: Математика, автор: Аноним

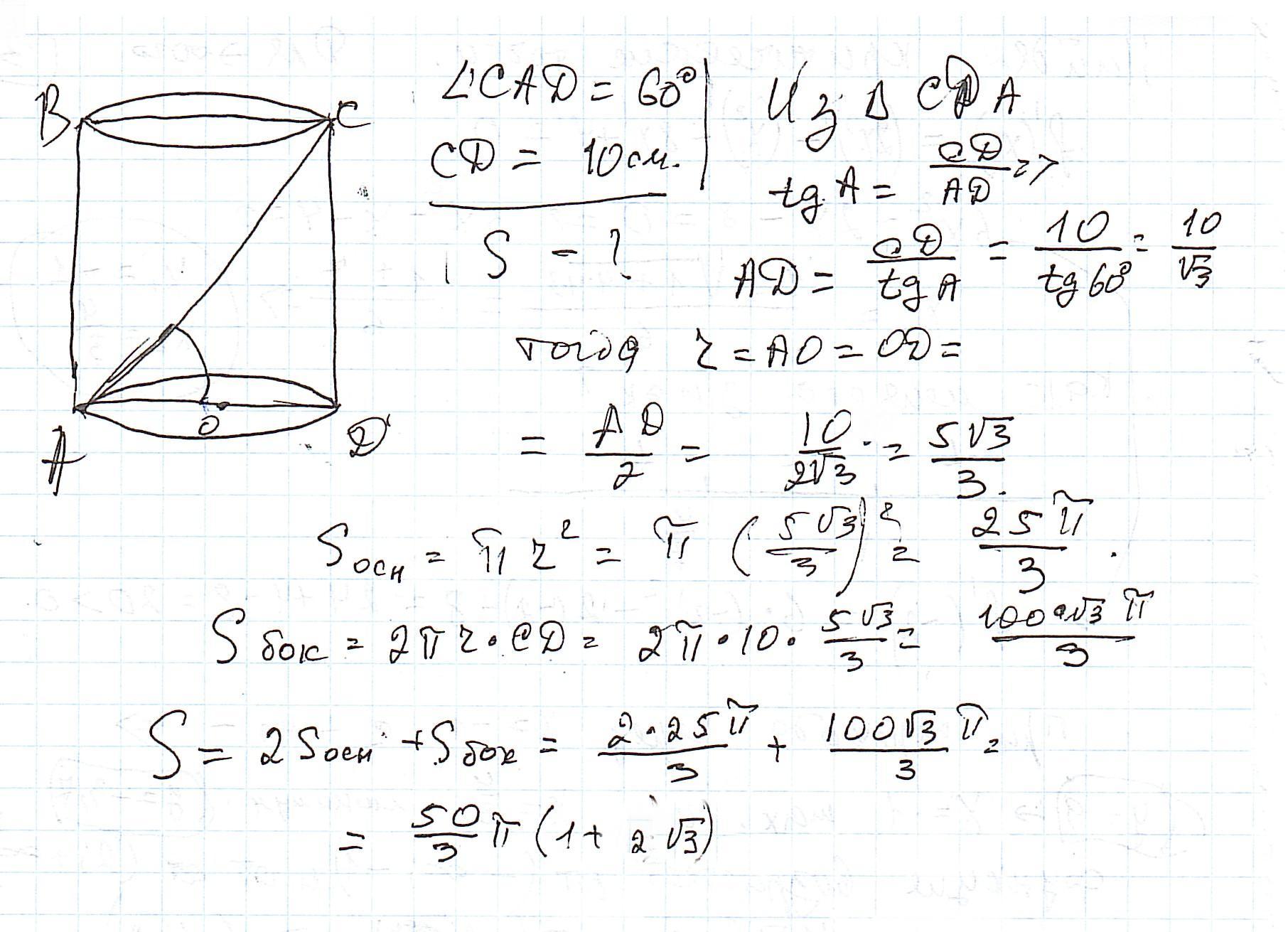
Диагональ осевого сечения цилиндра наклонена под углом 60 градусов к плоскости основания высота цилиндра равна 10см найдите площадь поверхности цилиндра

Ответы

Автор ответа: ужнеужели
3

Ответ:

Пошаговое объяснение:

во вложении

Приложения:
Похожие вопросы
Предмет: Қазақ тiлi, автор: NurgulOmarova
Предмет: Українська мова, автор: pusha2005
Предмет: Экономика, автор: karina230303
ПОМОГИТЕ ПОЖАЛУЙСТА.
1.Выделите внутренний фактор экономического роста.Это капитал который:
а)поступил из другой страны
б)мобилизован в данной стране
в)вывезен в другие страны
г)применяется в данной стране
2.Из перечисленных факторов выделите ту группу,которая характе ризует взаимодействие экстенсивного и интенсивного экономического роста:
а)рост инвестиций,капитала и рабочей силы
б)использование квалифицированных рабочих,новой техники и ресурсосберегающей технологии
в) внедрение научно-технических достижений и создание новых рабочих мест
г)все перечисленное верно
3.Выделите фактор,который НЕ связан с интенсивным экономических ростом:
а)научная организация труда
б)рост интенсивности труда
в)уменьшение брака
г) нет правильного ответа
4.Конечной целью экономического роста является:
а)потребление
б)наращивание экономического потенциала
в)обеспечение конкурентноспособности российских товаров
г)все вышеперечисленное
5.какое утверждение правильно:
а)экономическое развитие является одним из факторов экономического роста
б)экономический рост является одним из факторов экономического развития
в)экономическое развитие всегда сопровождается экономическим ростом
Предмет: Русский язык, автор: danilisaev134
помогне сжать текст Природа даёт человеку все необходимое,без чего он не сможет жить:воздух,воду,свет,пищу. Значит,мы все зависим от состояния здоровья нашей родной планеты Земля. Сохранение и защита её здоровья обозначают разумное использование наших природных ресурсов, восстановление окружающей среды которую мы порою портим самим своим существованием: истощаем почвы,загрязняем воздух и воду. Большинство экологически кризисов возникают из-за того, что люди вмешиваются в нормальные природные процессы, не понимая грозящей им опасности. В последние десятилетия все более очевидным ставится тот факт, что природа не может безконечно удовлетворять все потребности людей, если те не будут ничего давать в замен.И только от нас зависит,в каком виде мы сохраним все эти ценные ресурсы для себя и последующих поколений. Специалисты по сохранению природы,экологи,делят все природные ресурсы на две категории:те,которые уже нельзя восстановить и те,которые можно. К первой группе отсятся уголь,газ,нефть,мениралы-все то,что,раз израсходовав,нельзя возместить.Это необходимо использовать разумно.Ко второй относятся леса,дикие животные,вода и земля,которые могут быть "восстановлены",если применять правильные методы хозяйствования.